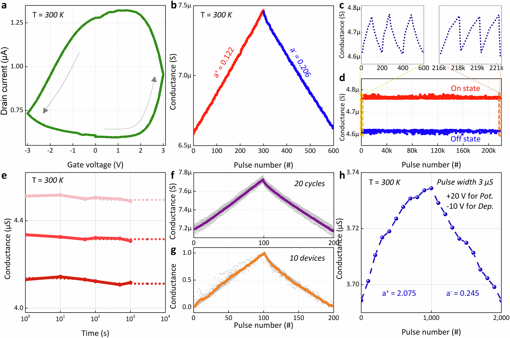
Fig. 3: Switching and retention behavior at room temperature.

a Transfer curve of the WO3-x ECRAM by sweeping gate voltage from 0 to +3 V, then to −3 V, and back to 0 V in one cycle to examine memory window. b Pulsed conductance modulation measurement with 300 up pulses at +1.5 V and 300 down pulses at −0.8 V, using a pulse width of 0.5 s. c, d Endurance characteristics over 200,000 write pulses with a pulse width of 50 ms, applying +5 V for 100 up pulses and −1.5 V for 100 down pulses. e The retention characteristics at 300 K over a duration of 3 h for four different states. The retention time, defined as the time required for the conductance to decrease by up to 2%, shows minimal change over the 3-h period. f Cycle-to-cycle variations over 20 cycles of 100 up and 100 down pulses on the same device. Vwrite is +1.5 V for up pulses and −0.8 V for down pulses with a pulse width of 0.5 s. g Device-to-device variations for devices with the same dimension. Normalized conductance graph of 10 devices. h Switching speed by applying consecutive 1000 up and 1000 down pulses. 3 μs pulse width is used, and the linearity is calculated as 2.075 during potentiation (a+) and 0.245 during depression (a−).