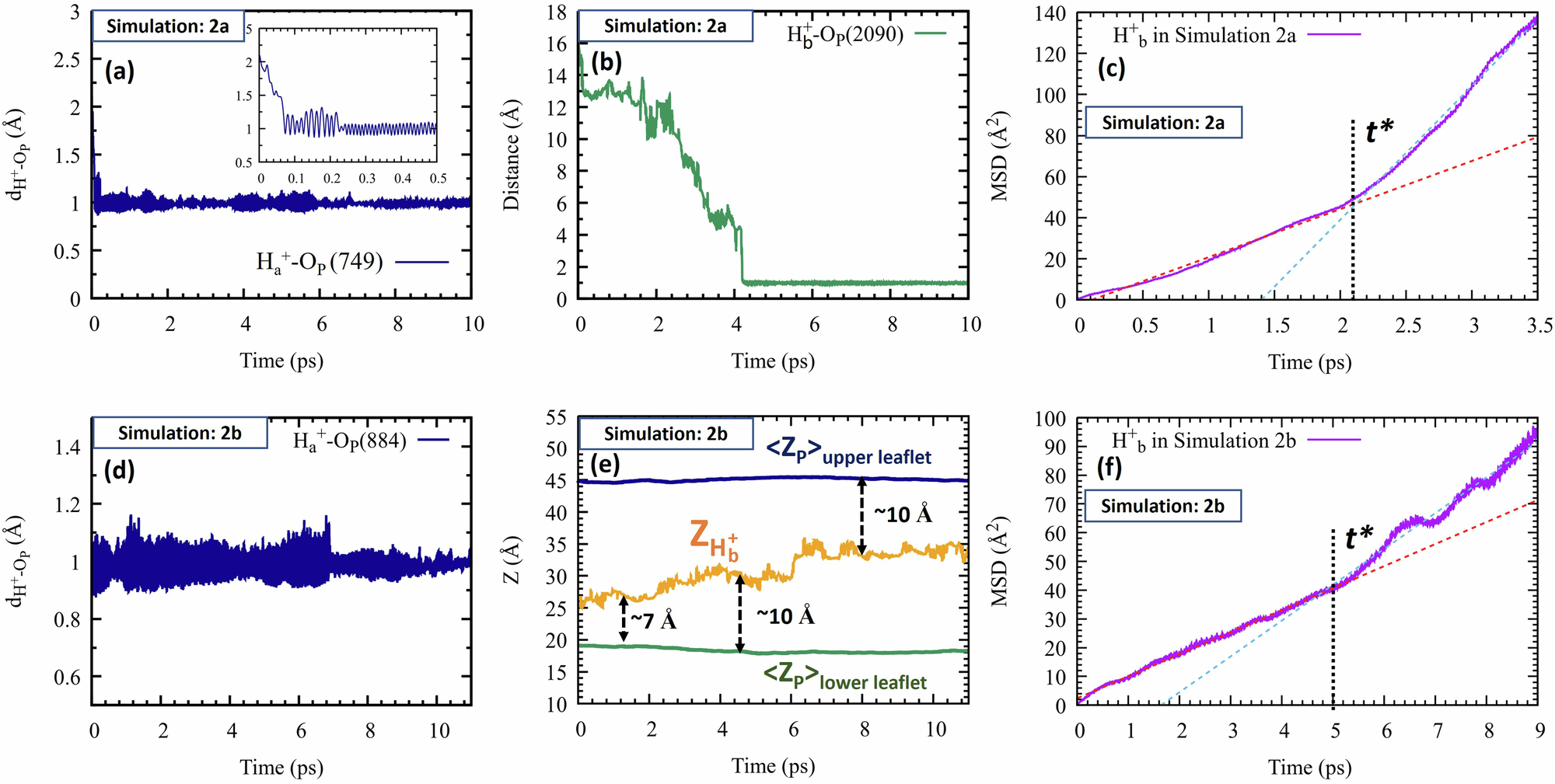
Fig. 4: Highlights from Simulation 2.

Simulation 2a (upper panels): Distance of the excess protons (a) \({{{\rm{H}}}}_{a}^{+}\), and (b) \({{{\rm{H}}}}_{b}^{+}\), from the nearest phosphatic oxygen (OP) on the lower (in blue) and upper (in green) leaflets, respectively. c The MSD of \({{{\rm{H}}}}_{b}^{+}\) up to 3.5 ps, with linear fits (red and cyan dashed lines) from which the short- and long-time diffusion coefficients were obtained (see Table 1). Simulation 2b (lower panels): d The distance of \({{{\rm{H}}}}_{a}^{+}\) from the OP it was initially attached to, and (e) Comparison of the Z coordinate of the mobile proton (\({{{\rm{H}}}}_{b}^{+}\)) (yellow line) with that of the average P-plane in the lower (green) and upper leaflets (blue). f The MSD of \({{{\rm{H}}}}_{b}^{+}\) with linear fits (red and cyan dashed lines) from which diffusion coefficients were obtained (Table 1). Source data are provided as a Source Data file.