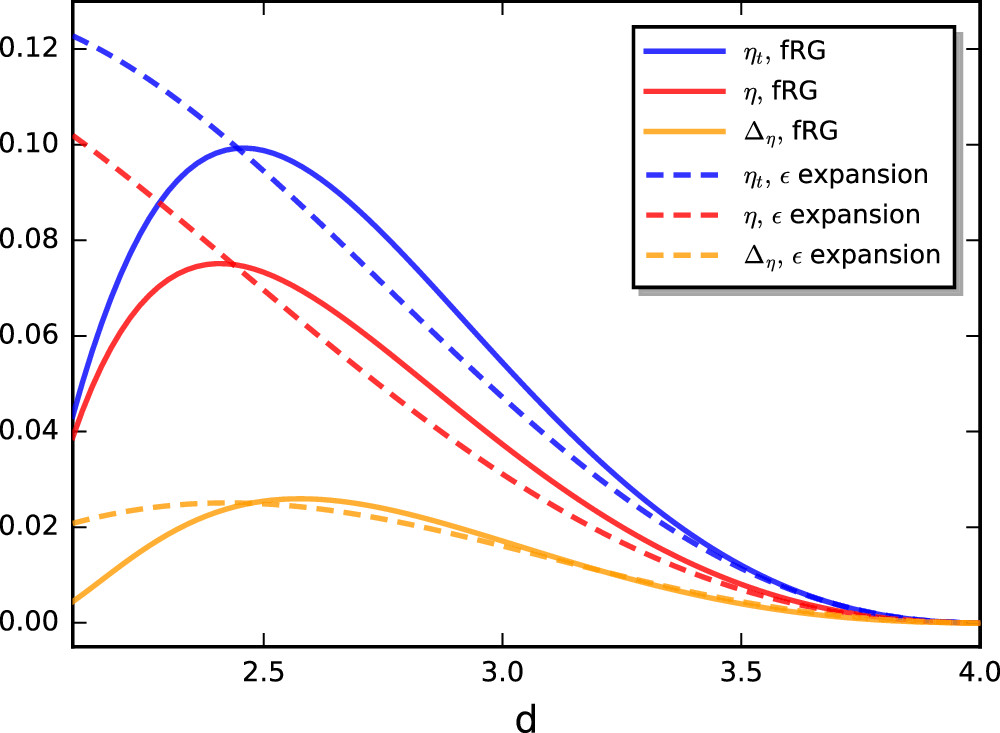
Fig. 8: Comparison of the anomalous dimensions ηt, η and Δη ≡ ηt − η as functions of N obtained from fRG and the ϵ expansion.
From: Universality of pseudo-Goldstone damping near critical points
From: Universality of pseudo-Goldstone damping near critical points