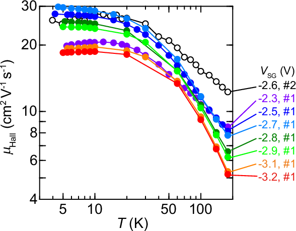
Fig. 3: Temperature dependence of Hall mobilities μHall.
From: Evolution of electronic correlation in highly doped organic two-dimensional hole gas

The mobilities are plotted for various VSG. Source data to calculate the Hall mobilities are provided as a Source Data file.