Table 1 Selected condition optimizations

From: Photoredox cobalt-catalyzed asymmetric desymmetric reductive coupling of cyclobutenes with alkynes

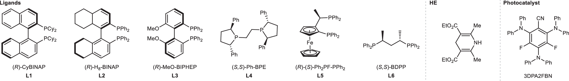
View full size image

Entrya

Variations from standard conditions

Yield (%)

ee (%)e

1

None

76b

98

2

L1 instead of L4

8c

/

3

L2 instead of L4

58c

40

4

L3 instead of L4

74c

9

5

L5 instead of L4

66c

60

6

L6 instead of L4

94c

-46

7

w/o CoCl2

NRd

/

8

w/o Co[(S,S)-Ph-BPE]Cl2

NRd

/

9

w/o 3DPA2FBN

NRd

/

10

w/o Et3N

NRd

/

11

w/o HE

16d

/

12

no light

NRd

/

View full size image

  1. aUnless otherwise noted: 1a (0.15 mmol, 1.0 equiv), 2a (0.45 mmol, 3.0 equiv), Co[(S,S)-Ph-BPE]Cl2 (10 mol%), 3DPA2FBN (3 mol%), Et3N (0.075 mmol, 0.5 equiv), HE (0.15 mmol, 1.0 equiv) in CH3CN (0.5 mL) under 450 nm blue LEDs for 48 h under N2.
  2. bIsolated yield.
  3. c2a (0.30 mmol, 2.0 equiv), CoCl2 (10 mol%), Ligand (10 mol%), Et3N (0.15 mmol, 1.0 equiv), HE (0.15 mmol, 1.0 equiv) in CH3CN (2.0 mL), and the yields were determined by GC-FID analysis using dodecane as the internal standard.
  4. dYields were determined by crude 1H NMR using 1,1,2,2-tetrachloroethane as internal standard.
  5. eDetermined by chiral HPLC.