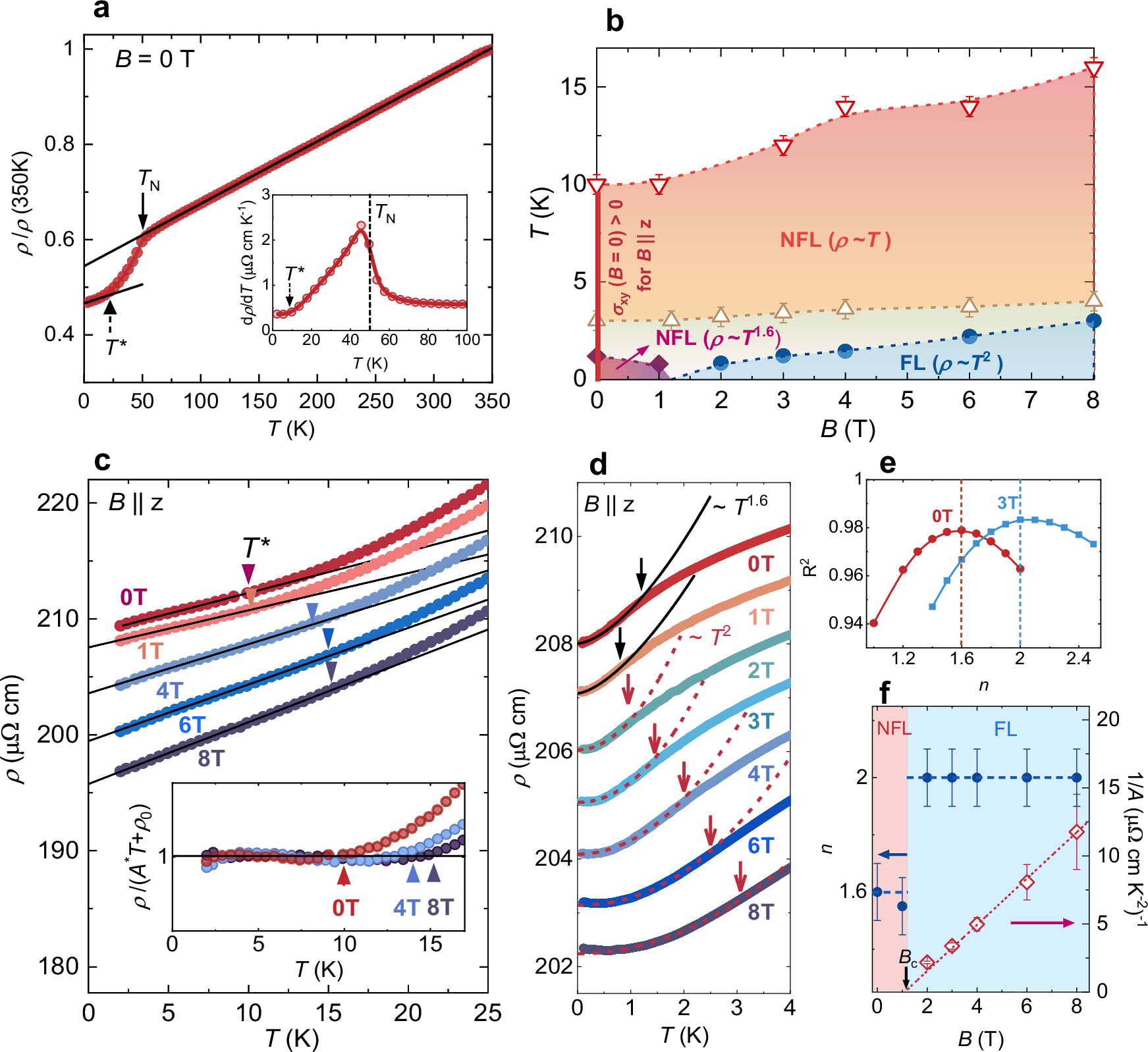
Fig. 4: Strange-metal transport in V1/3NbS2 exhibiting ABAB stacking.
From: Zero-field Hall effect emerging from a non-Fermi liquid in a collinear antiferromagnet V1/3NbS2

a The zero-field resistivity ρ(T). The downward arrow denotes the Néel temperature TN = 50(1) K. The two solid lines represent linear fits in two T regimes: TN ≲ T ≲ 350 K and T ≲ 10 K, where T* (upward arrow) marks the upper limit of the low-T linear behavior. Inset: the temperature derivative, dρ/dT. The dashed line and the downward arrow denote TN and T*, respectively. b Temperature vs. field (T − B) phase diagram showing the non-Fermi liquid (NFL) regimes with ρ(T) ~ T (orange) and ρ(T) ~ T1.6 (red), and the field-induced Fermi liquid (FL) state (blue). The vertical line indicates the temperature range of finite zero-field Hall conductivity σxy > 0. c Evolution of the T − linear resistivity under B∥z. The curves measured under fields are shifted vertically for clarity. The solid lines show the linear fit \(\rho (T)={\rho }_{0}+{A}^{{\prime} }T\) to the low-T behavior, for which the upper limit T* is marked by downward arrows. Inset: Representative temperature dependence of \(\rho /({\rho }_{0}+{A}^{{\prime} }T)\), with \(\rho /({\rho }_{0}+{A}^{{\prime} }T)\approx 1\) corresponds to T-linear behavior; the upward arrows mark T* for each B. d ρ(T) down to 0.1 K under B∥z. The black arrows mark the onset of the NFL state ρ(T) ~ T1.6 (solid lines). Above 1 T, ρ(T) recovers the FL T2 dependence (dashed lines), with the red arrows denoting its upper limit. e Representative R-squared R2 of power-law fitting to ρ(T) = ρ0 + ATn versus n. The maximum value of R2 (dotted lines) indicates optimal fitting. f Power-law exponent n (left-axis) and the inverse of the FL coefficient A (right-axis) versus B. The blue dashed lines are guides for the eye. The linear fit 1/A ~ ∣B − Bc∣ (red dashed line) provides a critical field Bc = 1.2(2) T. Error bars in b, f represent uncertainties in the measured data.