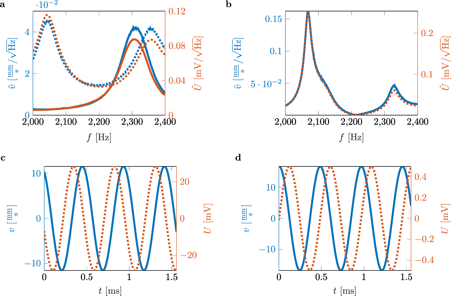
Fig. 3: Amplitude spectral densities (ASDs) of the velocity and output voltage of the piezoelectric transducer (PZT).
From: Exceptional energy harvesting from coupled bound states

a Sound hard termination with PZT (solid blue and orange lines) and Helmholtz resonator with PZT (dashed blue and orange lines) under white noise excitation. b Fully reduced cavity (FRC) with PZT under white noise excitation. c Velocity and output voltage of the system excited at the previously determined target frequency of f = 2068.5 Hz. d Velocity and output voltage of the system excited at the previously determined target frequency of f = 2068.5 Hz with a 10 Ω resistor embedded in the circuit.