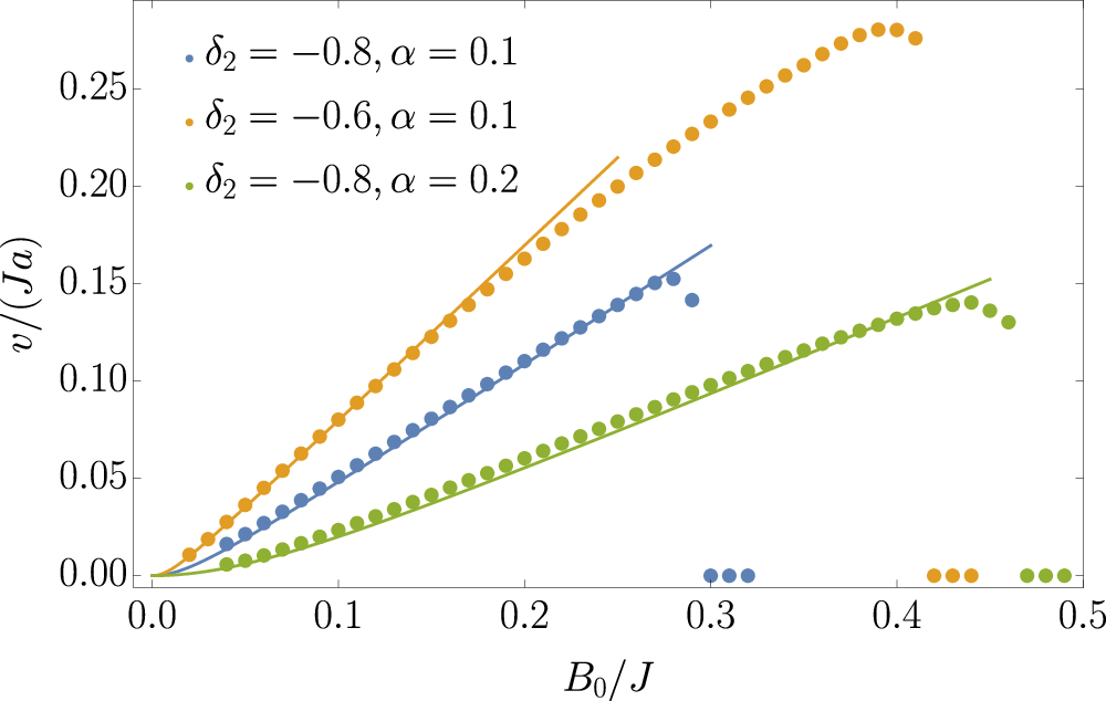
Fig. 2: Velocity v of a domain wall as function of the amplitude of the oscillating field B0, for different values of anisotropy δ2 and damping α.
From: Propelling ferrimagnetic domain walls by dynamical frustration

Across a wide parameter range, v is linear in B0 and thus proportional to \(\sqrt{| {\omega }_{{{\rm{rot}}}}| }\), see Eq. (7). Lines: analytical calculation of the domain wall velocity, Eq. (8), without fitting parameters. Parameters: J = 1, Δ = 0.8, δ2 = −0.6 and −0.8, δ4 = 1, g1 = 1, g2 = 0.1, α = 0.1 and 0.2, ω = 3.6 for a system of 40,000 spins. Numerical errors are smaller than the size of the symbols.