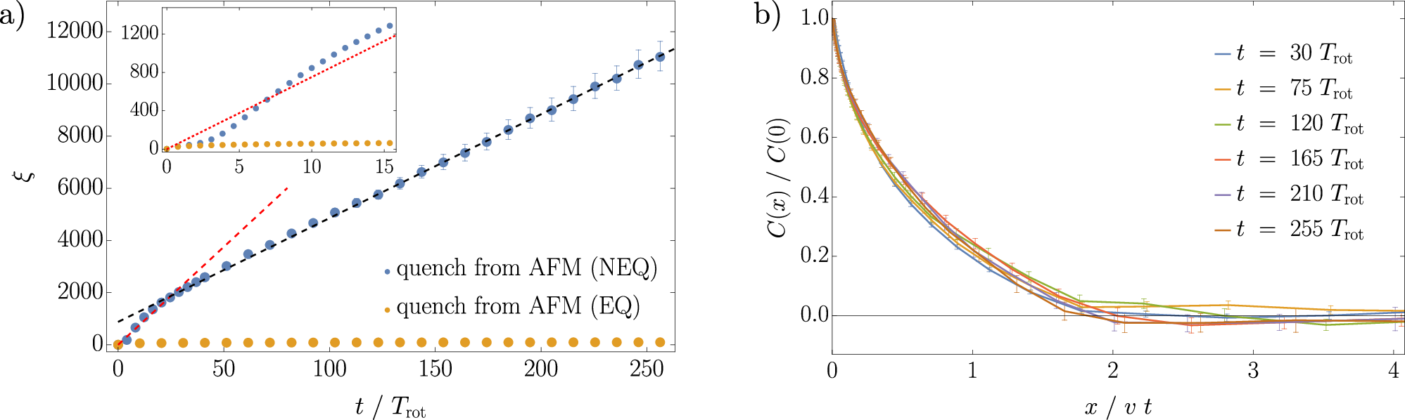
Fig. 4: Buildup of FM correlations after a quench from an AFM-ordered phase into the ferrimagnetic phase in the absence of noise, T = 0, see also Fig. 3.
From: Propelling ferrimagnetic domain walls by dynamical frustration

a Correlation length ξ = 1/nDW as function of time after a quench from an AFM-ordered phase into the ferrimagnetic phase both for a driven and a non-driven system, marked by NEQ (non-equilibrium) and EQ (equilibrium) in the legend, respectively. The inset shows that the short-time dynamics of the driven and non-driven system is identical, but after a few rotation periods Trot, the driven system shows a very fast increase of the correlation length. In the long-time limit, ξ grows linearly in time (~0.065t, black dashed line). For comparison, vt, where v is the velocity of a single domain wall, is also shown as a dashed red line. The linear growth of correlations with time can also be seen directly from a scaling plot of the equal-time correlation function \(C(x)=\langle {S}_{j}^{z}{S}_{j+x/a}^{z}\rangle\) (averaged over j), which is shown (for even x/a) in panel b as function of x/(vt). Here v is the velocity of a single domain wall. The plot shows that the maximal speed is 2v, arising from two domain walls moving in opposite directions. Parameters: as in Fig. 3, average over 20 initial states in simulations with 500,000 spins each (15 initial states for the equilibrium states). Error bars denote the corresponding standard deviation of the mean.