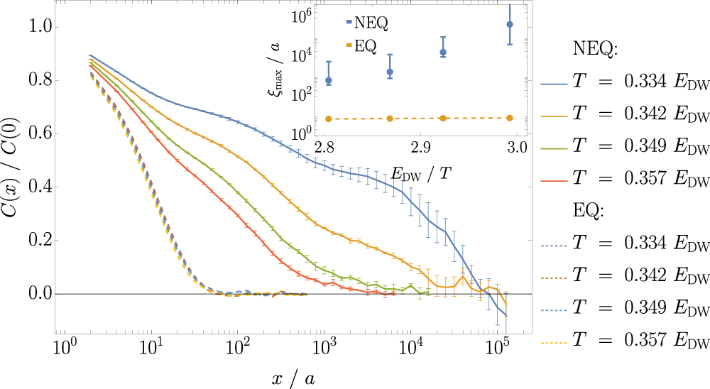
Fig. 6
From: Propelling ferrimagnetic domain walls by dynamical frustration

Equal-time correlation function C(x) = 〈mz(x0 + x)mz(x0)〉 in the presence of thermal noise for systems of the size of 250,000 spins (parameters as in Fig. 1, only even x/a are shown, error bars denote the standard deviation of the mean). The data is measured at t ≈ 520,000/J ≈ 850 Trot after a quench from an AFM state. The error bars are standard deviation of the mean obtained by averaging over four runs. With the exception of the curve for the lowest T (blue), the system has obtained a stationary state at that time, see Supplementary material, App. E.3. Note the logarithmic scale on the x-axis, needed due to a broad distribution of domain sizes, see Fig. 5. Compared to the non-driven system in thermal equilibrium (dashed lines), the correlation length becomes many orders of magnitude larger for T ≲ 0.025 J. Inset: The correlation length \({\xi }_{\max }\) grows faster than exponential with 1/T. For a discussion of error bars in the inset, see Supplementary material, App. E.3.