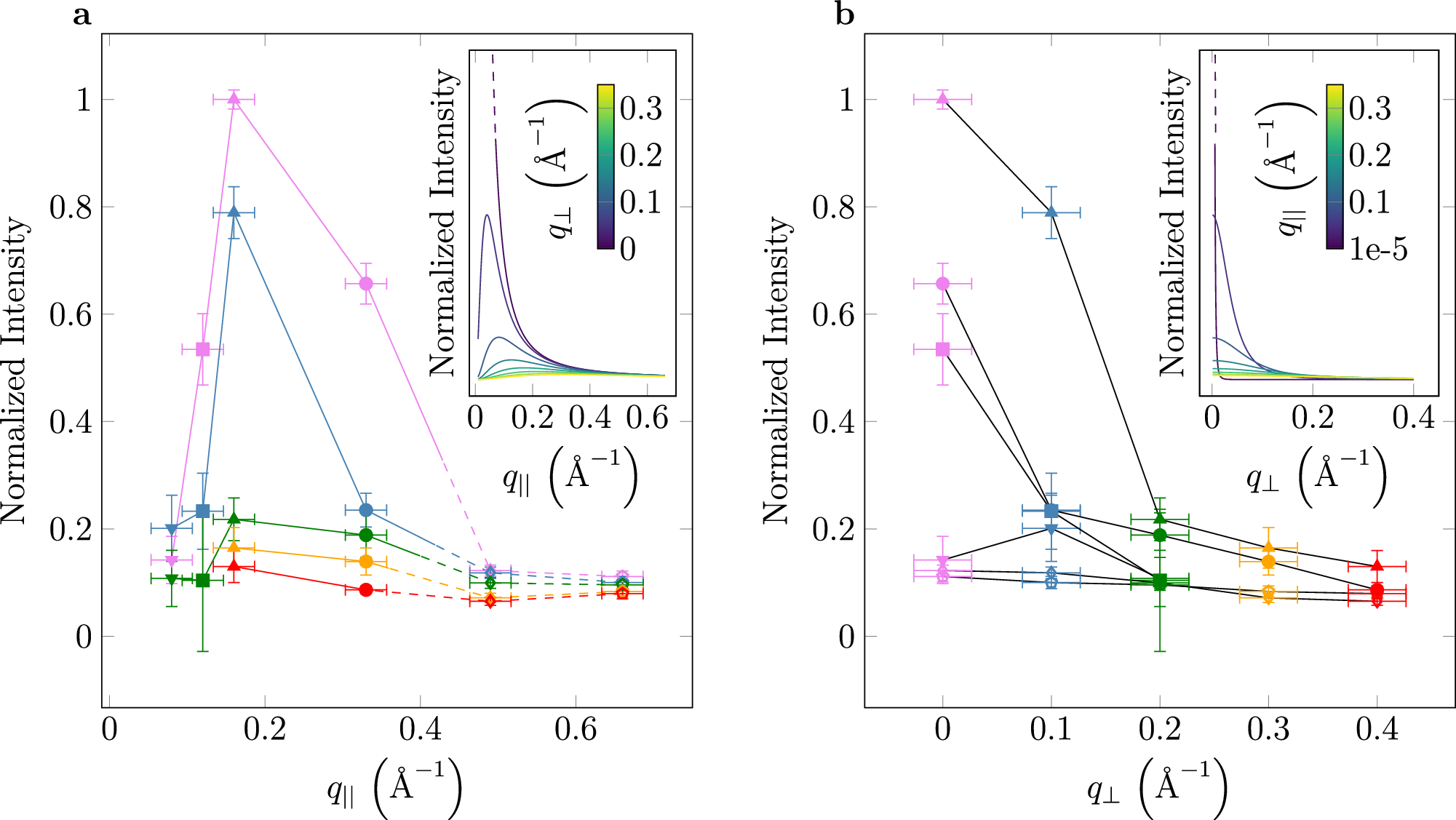
Fig. 7: Integrated loss intensities under the fitted plasmon peaks as a function of in-plane (q∣∣) and out-of-plane (q⊥) momentum transfer.
From: Optical and acoustic plasmons in the layered material Sr2RuO4

The horizontal error bars originate from the finite momentum resolution while the vertical ones are related to the residual error of the fit. The q⊥ values 0, 0.1, 0.2, 0.3, and 0.4 Å−1 are marked by purple, blue, green, yellow, and red color symbols, respectively (see Fig. 3). The q∣∣ values 0.08, 0.12, 0.16, 0.33, 0.49, and 0.66 Å−1 are marked by tip down triangles, squares, tip top triangles, circles, diamonds, and pentagons, respectively. The dashed lines and open symbols indicate the single particle continuum regime. The insets show the dependency predicted by the coupled 2D plasmon model due to ref. 40. At q⊥ = q∣∣ = 0 the curves diverge indicated by a dashed line.