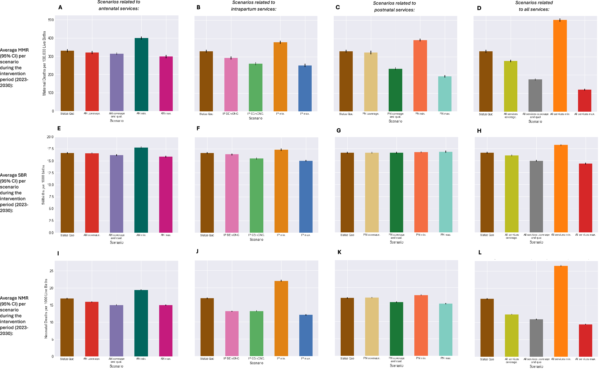
Fig. 2: Maternal and neonatal mortality and stillbirth rates by scenario.

Scenarios relating to antenatal, intrapartum and postnatal services share a colour scheme with each scenario represented by a unique colour—this is maintained throughout the manuscript and figures in supporting information. A–D The average MMR across the intervention period (2023–2030) is provided for each scenario alongside 95% CI. E–H The average SBR across the intervention period (2023–2030) is provided for each scenario alongside 95% CI. I–L The average NMR across the intervention period (2023–2030) is provided for each scenario alongside 95% CI.