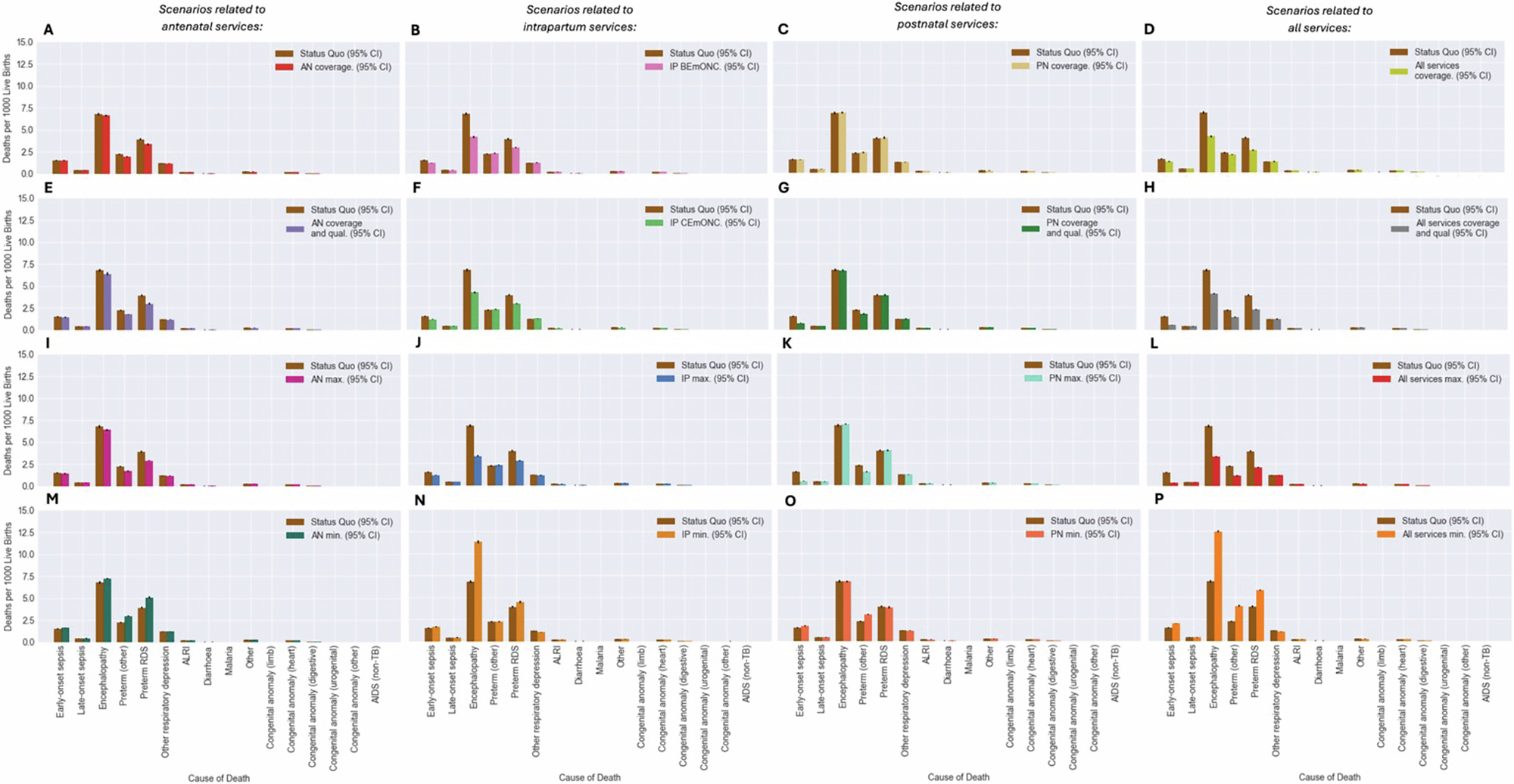
Fig. 4: Cause-specific NMRs for each of the potentially fatal modelled maternal complications by scenario for each of the four analyses conducted.

A, E, I, M The average cause specific NMRs across the intervention period (2023–2030) is provided for each complication alongside 95% CI for scenarios related to antenatal services. B, F, J, N The average cause specific NMRs across the intervention period (2023–2030) is provided for each complication alongside 95% CI for scenarios related to intrapartum services. C, G, K, O The average cause specific NMRs across the intervention period (2023–2030) is provided for each complication alongside 95% CI for scenarios related to postnatal services. D, H, L, P The average cause specific NMRs across the intervention period (2023–2030) is provided for each complication alongside 95% CI for scenarios related to all services.