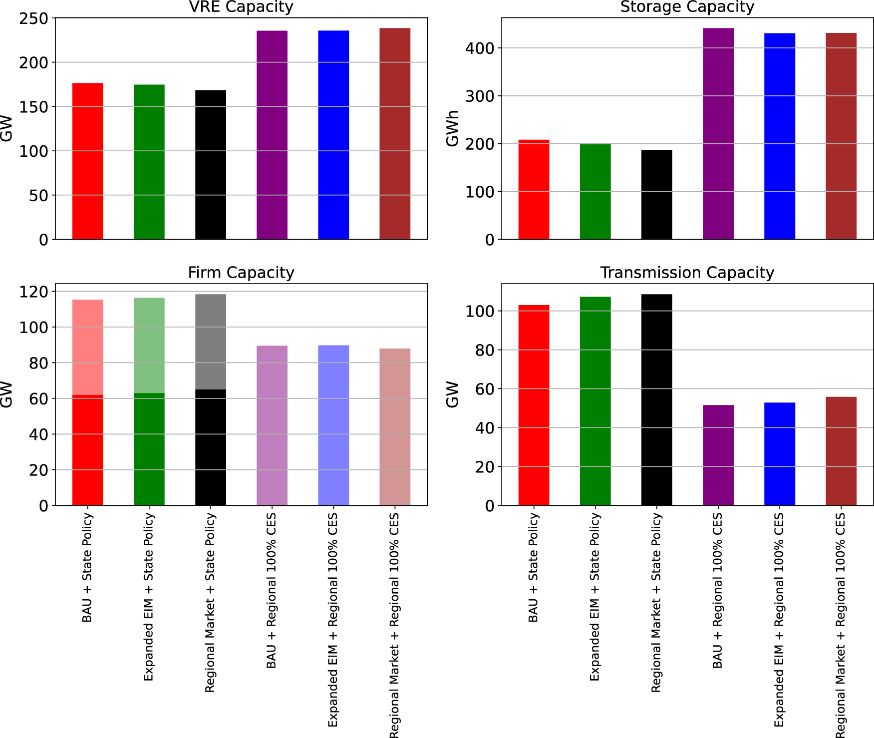
Fig. 3: Power system capacities for all scenarios.
From: Coordinating power sector climate transitions under policy uncertainty

Firm capacity includes both carbon-emitting (dark shading) and low-carbon resources (light shading). VRE, storage, firm, and transmission capacities are shown in top-left, top-right, bottom-left, and bottom-right panels, respectively.