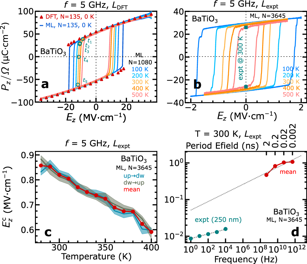
Fig. 3: Ferroelectric properties of BaTiO3.

a Ferroelectric hysteresis of polarization density Pz/Ω as a function of an applied electric field along z in BaTiO3, as obtained using DFT-optimized lattice parameters (LDFT). This includes results for the 135-atom supercell at 0 K, obtained through structural relaxations with our ML model or DFT, and results for the 1080-atom supercell at finite temperatures, calculated through MLMD with our ML model. For the hysteresis at 300 K, time signatures ti are indicated and used to visualize dipoles in Fig. 4. b Ferroelectric hysteresis at different temperatures, obtained using a 3645-atom supercell with experimental lattice parameters (Lexpt). The experimental value of spontaneous polarization from Ref. 54 is reported. c Intrinsic coercive electric field \({E}_{z}^{\,{\mbox{c}}\,}\) as a function of temperature, obtained using a 3645-atom supercell with experimental lattice parameters. The absolute values of the positive (up → dw) and negative (dw → up) coercive fields, along with their mean, are shown. The standard deviation of coercive field values is given as a shaded region around the average value. d Intrinsic coercive field as a function of the electric field frequency, obtained using a 3645-atom supercell with experimental lattice parameters. The grey dotted line denotes the log-linear extrapolation of the coercive field with respect to the frequency, indicating an exponential relationship between the coercive field and the frequency. The experimental coercive field values were measured for a sample with a thickness of 250 nm and are taken from Ref. 59. In (a–d) each hysteresis curve at finite temperature is averaged over 10 trajectories, and N denotes the number of atoms. In (a–c) the frequency of the electric field is set to 5 GHz, corresponding to a period of 200 ps.