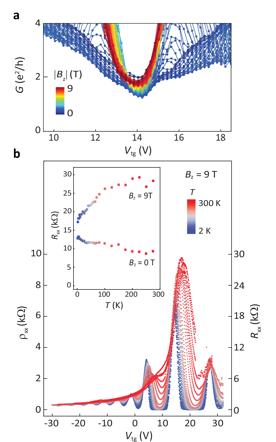
Fig. 4: Magnetic field and temperature dependence of the QSH and QH transport.

a Vtg-dependence of the conductance close to the Vcnp, measured at 0 < ∣Bz∣ < 9 T in a four-terminal geometry with V5 and V6 voltage probes in device A. b Gate-dependence of the graphene resistivity (left axis) and resistance (right axis) at Bz = 9 T, measured at various T. Inset: Temperature-dependence of the maxima of the four-terminal resistance at Vtg = Vcnp, shown for Bz = 0, 9 T.