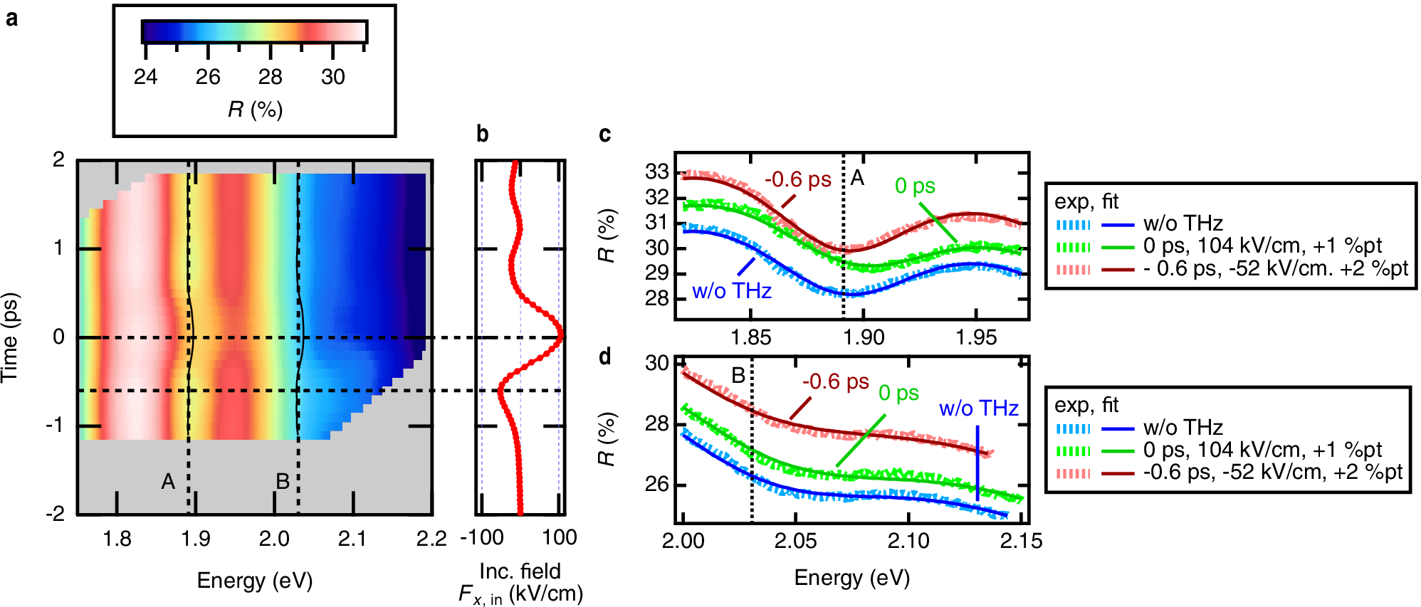
Fig. 3: The fitting of transient absolute reflectance spectra of a hybrid 3D-2D THz nanoantenna with 3 L MoS2 from the production batch α.
From: Terahertz field effect in a two-dimensional semiconductor

a Transient reflectance spectra obtained via fitting of the experimental data. Two vertical dotted lines show the position of A- and B-exciton resonances without the presence of the THz field. Two solid curved lines show the temporal change of position of A- and B-exciton resonances. b Incident THz field \({F}_{x,{{{\rm{in}}}}}\). Horizontal dotted lines in (a, b) point to time delays of 0 ps and −0.6 ps. Absolute reflectance spectra R in the vicinity of A-exciton (c) and B-exciton (d) resonances without THz pump (blue), under THz pump of \({F}_{x,{{{\rm{in}}}}}=\,\)104 kV/cm corresponding to 0 ps time delay (light green, vertically offset by +1 %pt for clarity), and under THz pump of \({F}_{x,{{{\rm{in}}}}}=\,\)−52 kV/cm corresponding to −0.6 ps time delay (dark red, vertically offset by +2 %pt for clarity). Dotted lines are experimental data, and solid lines are fitting curves. The vertical dotted lines in (c, d) show the position of A- and B-exciton resonances, respectively, without the presence of the THz field.