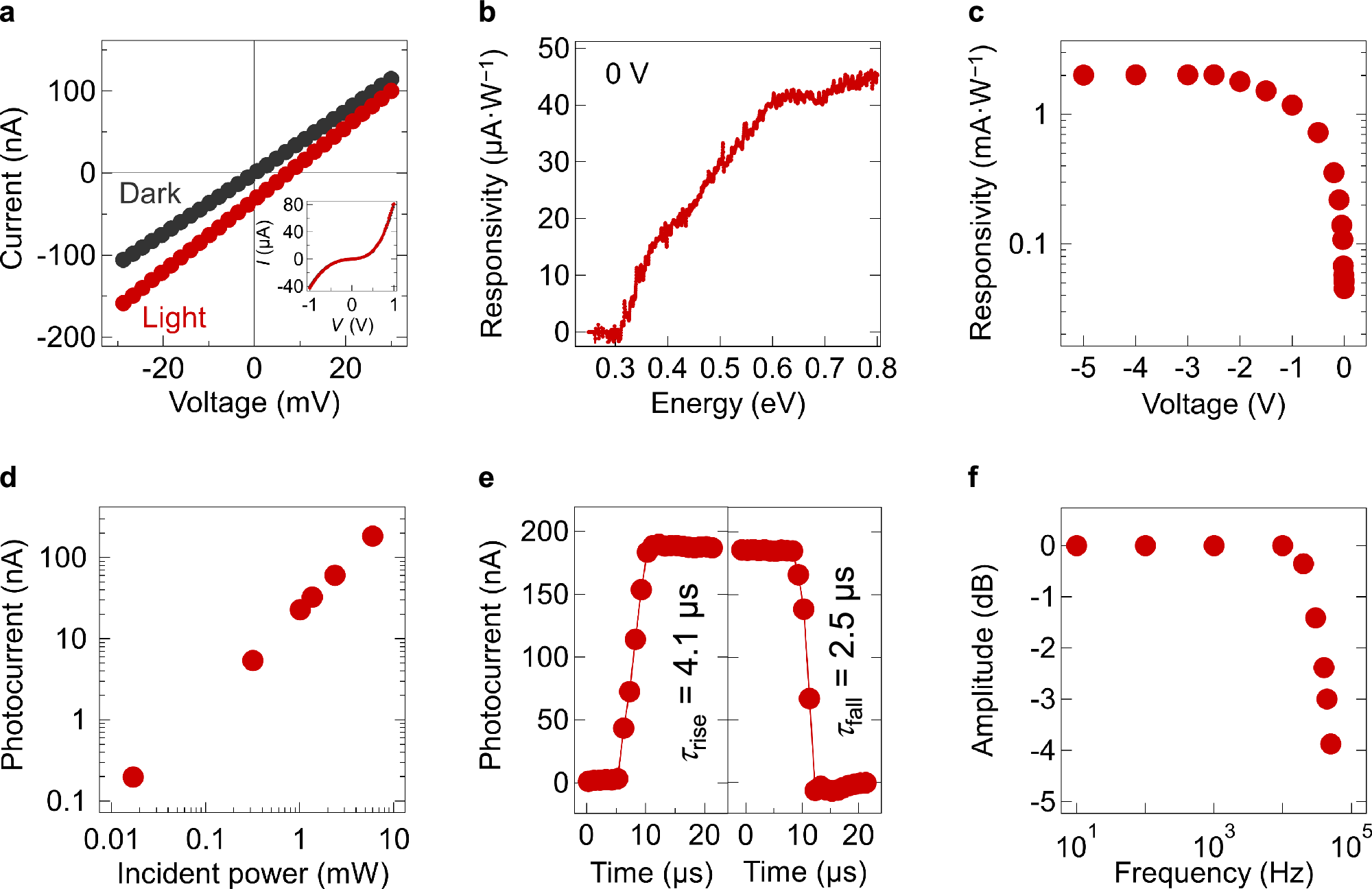
Fig. 2: Characteristics of a single-pixel BP photodetector.
From: Mechanically flexible mid-wave infrared imagers using black phosphorus ink films

a Current vs. voltage (I–V) characteristics in the dark (black) and under light irradiation (red). The light source is a blackbody radiation (1000 K, 9 mW·cm−2). The inset shows the I–V characteristics measured over a broader bias range. b Optical spectra of the photodetector under zero bias. The photocurrent at each wavelength is calibrated using the photocurrent measured under infrared irradiation at λ = 1.55 μm (1.6 W·cm−2). All subsequent characterizations used the 1.55-μm laser diode as the light source. c Responsivity as a function of applied voltage. d Power dependence of the photodetector. e Rise and fall times of the photodetector at 0 V, measured using the 90–10% method. f Frequency response of the photodetector at 0 V, showing a cutoff frequency at 44 kHz.