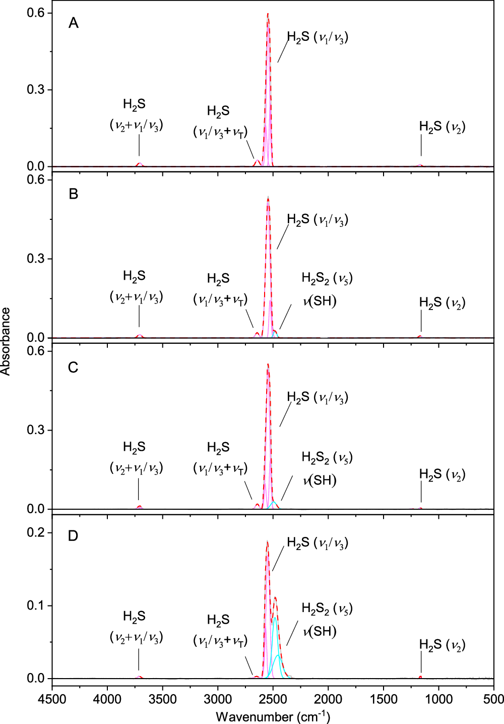
Fig. 2: Infrared spectra of hydrogen sulfide (H2S) ices at 5 K.
From: Missing interstellar sulfur in inventories of polysulfanes and molecular octasulfur crowns

Pristine ice after deposition (A) and after irradiation at a dose of (B) 3.6 ± 0.5 eV molecule–1, (C) 36 ± 1 eV molecule–1, and (D) 180 ± 11 eV molecule–1. The original spectrum (gray) is deconvoluted, showing the peaks assigned to hydrogen sulfide (pink). New peaks from the irradiation (cyan) generate the peak-fitted spectrum (red-dashed).