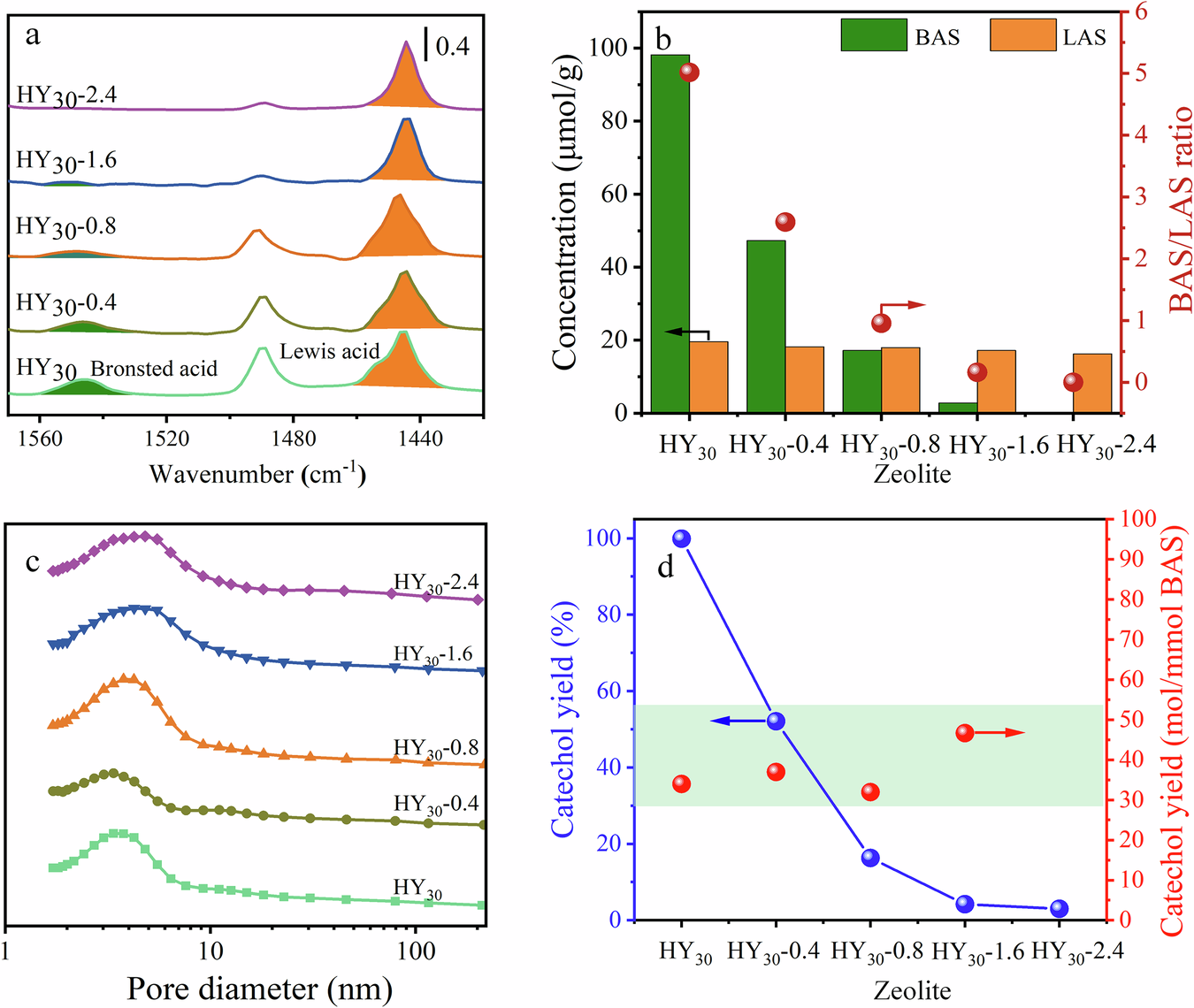
Fig. 5: Characterization and catalytic performance of HY30 catalysts.
From: Standardization transformation of C-lignin to catechol and propylene

a Pyridine-IR spectra, b acid concentration and the BAS/LAS ratio, and c pore size distribution of HY30, HY30-0.4, HY30-0.8, HY30-1.6 and HY30-2.4; d The catechol yield using HY30, HY30-0.4, HY30-0.8, HY30-1.6 and HY30-2.4 with the similar textural property. Reaction condition: 100 mg substrate, 100 mg HY30 catalyst, 5 ml H2O, 0.1 MPa Ar, 180 °C, 12 h.