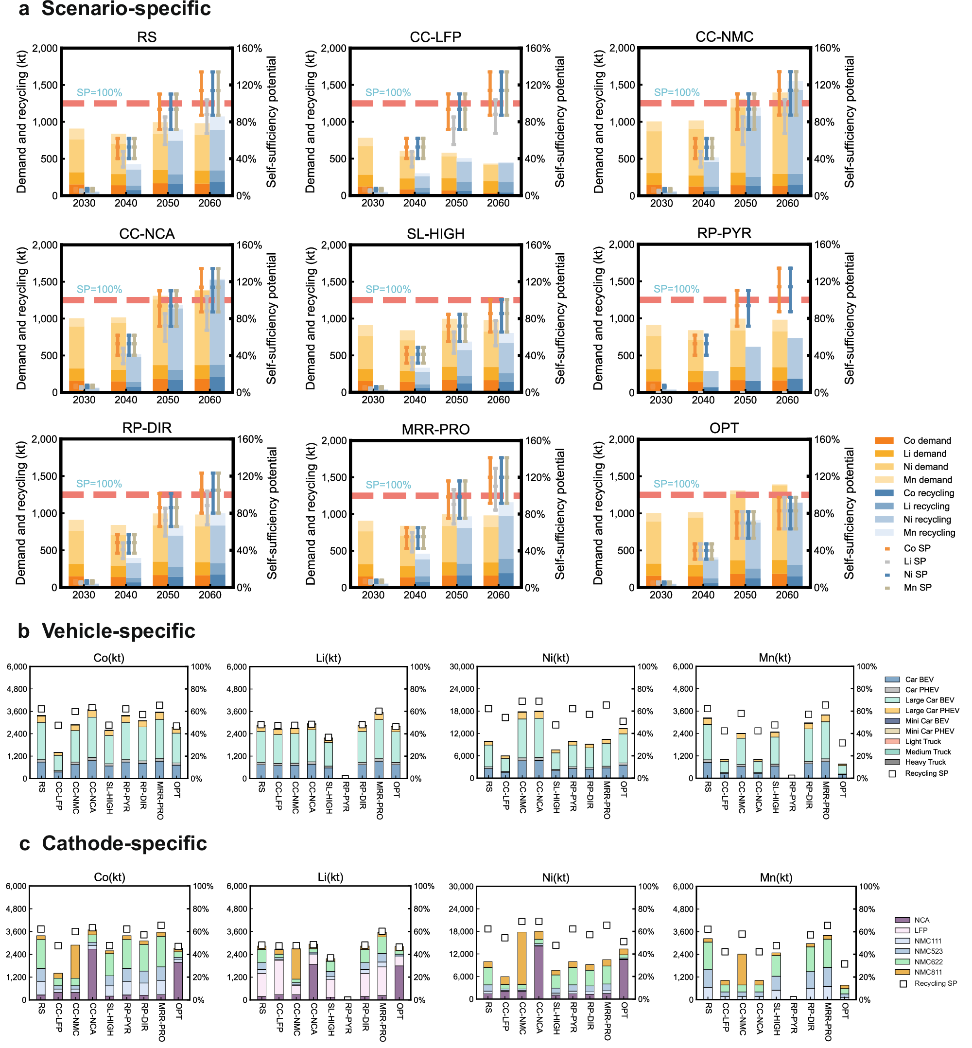
Fig. 3: Prospective demand, recycling, and self-sufficiency potential (SP) of critical materials embodied in lithium-ion batteries (LIBs) for electric vehicles (EVs).

a Demand and potential secondary supply from recycling under nine selected scenarios. b Vehicle-specific demand and potential secondary supply in 2060. c Cathode-specific demand and potential secondary supply in 2060. The SP across nine recycling strategies based on three battery collection rates is displayed from the lower to the upper bound. The light red dashed line denotes the breakeven between the demand and secondary supply from battery recycling. The white square indicates the average SP displayed on the secondary axis between 2021 and 2060. RS refers to the baseline scenario in which the cathode chemistry, battery lifespan, recycling technology, and critical material rate develop according to current trends. CC-LFP, CC-NMC,, and CC-NCA represent the LFP-dominated, NMC-dominated, and NCA-dominated cathode evolution scenario,s respectively. SL-HIGH is the high battery service life scenario. Under the RP-PYR and RP-DIR scenarios, the batteries are adopted pyrometallurgical recycling and direct cathode recycling technology, respectively. MRR-PRO refers to the progressive critical material recycling rate. And the OPT scenario denotes the optimal battery technology and recycling technology transition. The scenarios are detailed in Table 1. Co cobalt, Li lithium, Ni nickel, Mn manganese, Car BEV compact battery electric car, Car PHEV compact plug-in hybrid electric car, Large Car BEV battery electric large car and sport utility vehicle, Large Car PHEV plug-in hybrid electric large car and sport utility vehicle, Mini Car BEV mini-sized battery electric car, Mini Car PHEV mini-sized plug-in hybrid electric car, NCA nickel cobalt aluminum, LFP lithium iron phosphate, NMC nickel manganese cobalt.