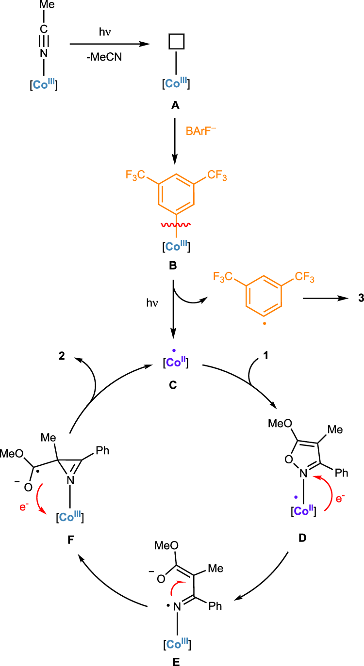
Fig. 9: Proposed mechanism.
From: Cobalt catalyst with exclusive metal-centered chirality for asymmetric photocatalysis

The proposed cobalt intermediates involved in the mechanism carry the following charges: intermediate A is tricationic, while intermediates B through F are dicationic. BArF tetrakis(3,5-bis(trifluoromethyl)phenyl)borate.