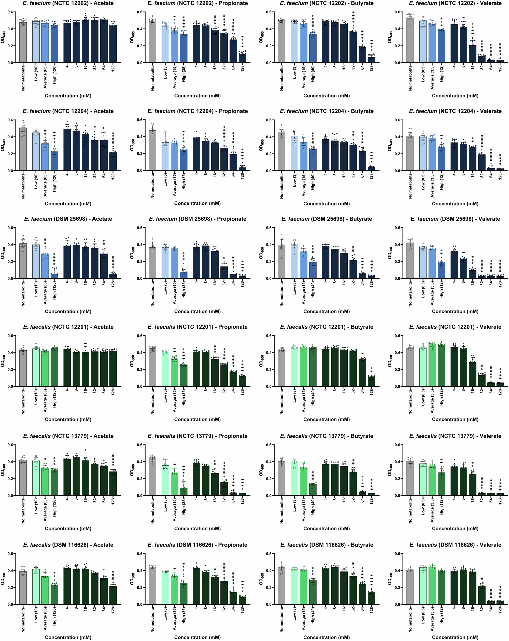
Fig. 3: Individual SCFAs suppressed VRE growth at physiological concentrations.
From: Vancomycin-resistant enterococci utilise antibiotic-enriched nutrients for intestinal colonisation

Vancomycin-resistant E. faecium and vancomycin-resistant E. faecalis strains were grown in tryptic soy broth (pH 6) supplemented with an individual metabolite at low, average or high concentrations measured in healthy human faeces, concentrations spanning a defined range (4–128 mM), or unsupplemented (no metabolite control). Cultures were incubated under anaerobic conditions overnight. Growth was measured in 14 replicates in two independent experiments for NCTC 12202 and NCTC 12201, and growth was measured in 10 replicates in two independent experiments for NCTC 12204, DSM 25698, NCTC 13779, and DSM 116626. Kruskal-Wallis test with Dunn’s multiple comparison test (each metabolite was compared to the no metabolite control). * = P ≤ 0.05, ** = P ≤ 0.01, *** = P ≤ 0.001, **** = P ≤ 0.0001. Data are presented as medians ± IQR. Growth of E. faecium or E. faecalis without metabolites shown in grey. Growth of E. faecium strains with supplemented metabolites shown in shades of blue. Growth of E. faecalis strains with supplemented metabolites shown in shades of green. Optical density at 600 nm, OD600.