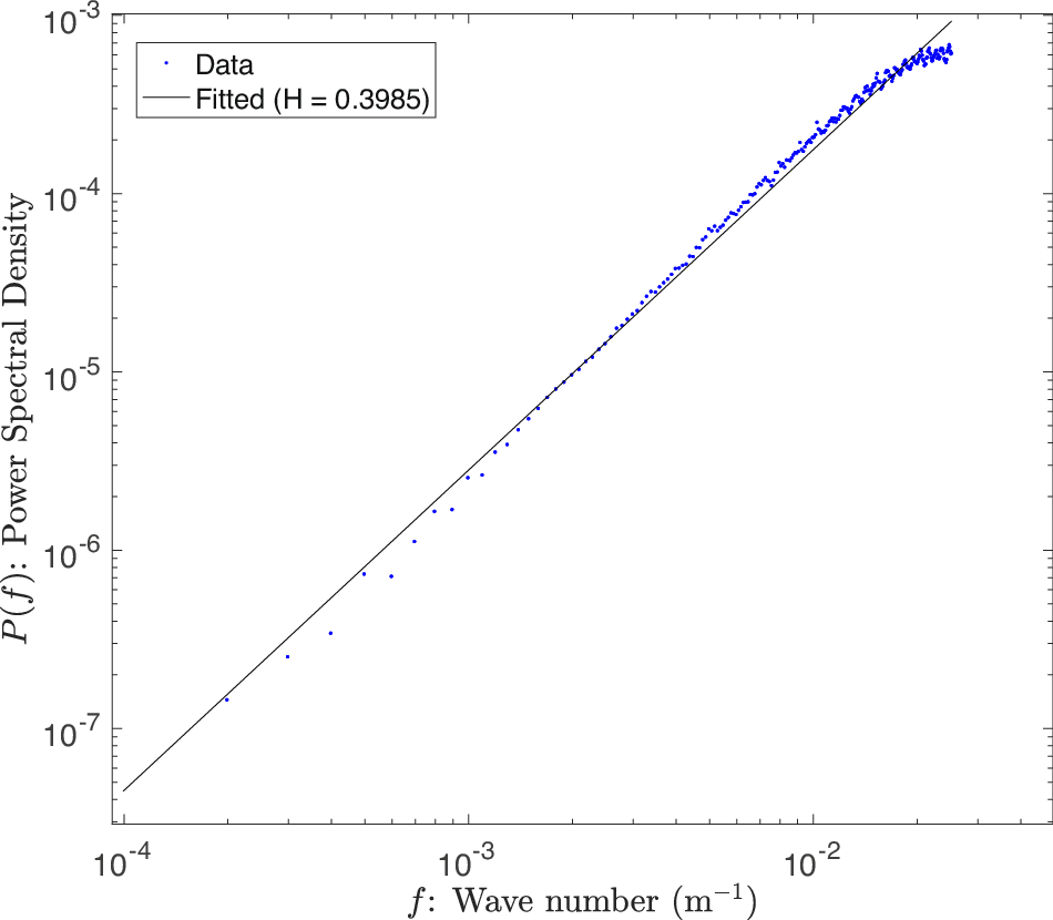
Fig. 9: Power Spectral Density analysis of an Antarctic ICESat-2 track.

The log-log plot of an ICE-Sat-2 elevation sub-track with an R2 of 0.98. The y axis inverts the logarithm of the power spectral density to make the power spectral coefficient (β) positive as shown in Equation (10). Blue markers indicated the calculated PSD values. The solid black line is indicative of the estimated linear regression. The slight deviation from the linear regression at higher wave numbers is due to the ATL06 product processing aggregate photon counts in 40 meters intervals50, thus artificially smoothing roughness at the highest resolutions of the product.