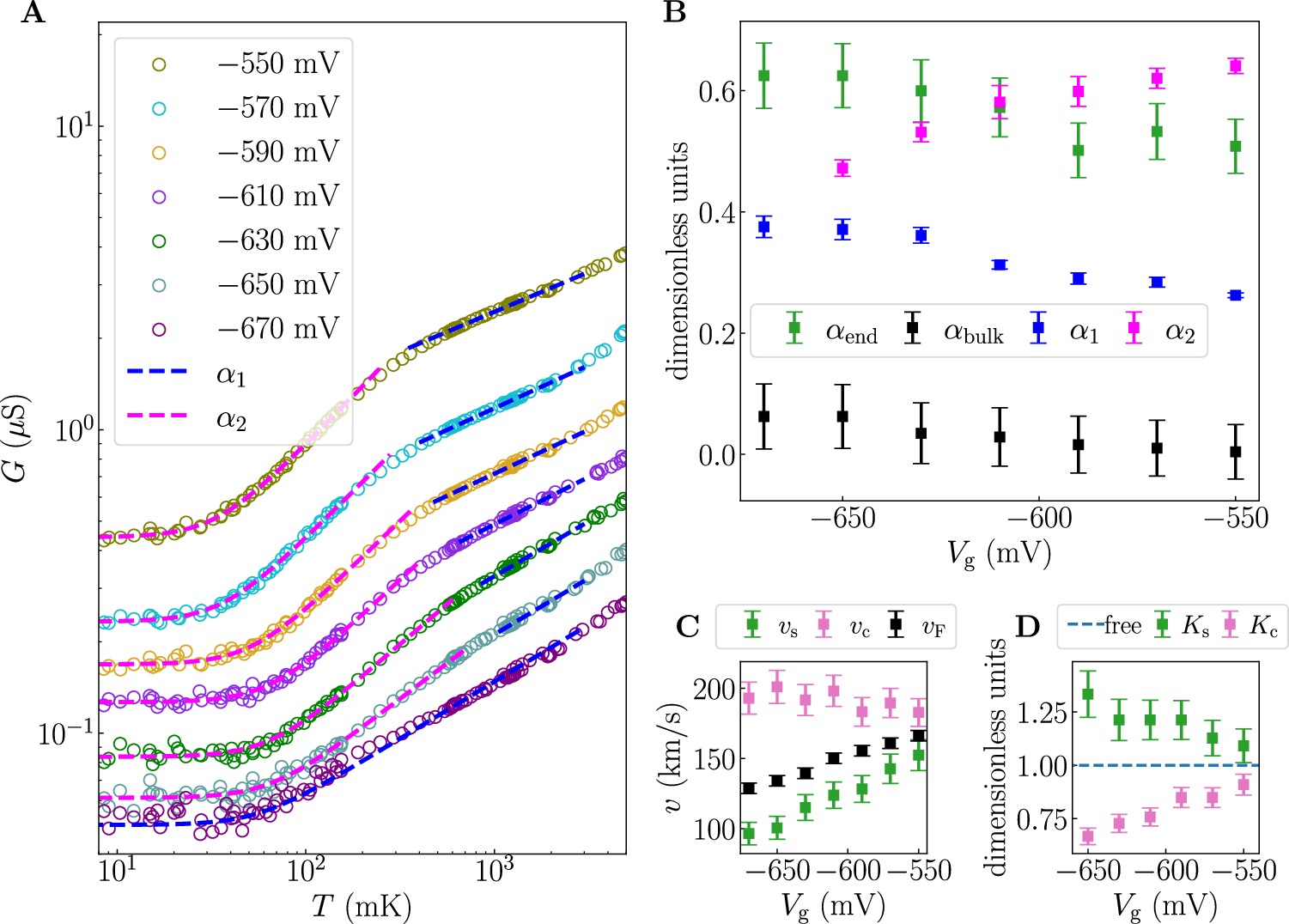
Fig. 3: Temperature dependence of conductance and dependence of the Luttinger parameters on electron density.
From: Dominant end-tunneling effect in two distinct Luttinger liquids coexisting in one quantum wire

A Conductance at Vsd = 0 as a function of temperature on a logarithmic plot for the gate voltages Vg given in the legend. The blue and magenta dashed lines are the power-law fits giving the values of the exponents in (B). The details of the fitting procedure are given in the text. B The values of two exponents α1 (blue squares) and α2 (magenta squares) as a function of Vg extracted from the conductance data in (A) with the error bars showing the rms error in the fit. The bulk-transport exponent αbulk (black squares), the end-transport exponent αend (green squares), and their error bars are evaluated for the Luttinger parameters in D using Eq. (3) and Eq. (4), respectively. C The velocities of excitations of spin (vs, green squares) and charge (vc, pink squares) extracted from the spectroscopic maps, e.g., Fig. 2A, as the linear slopes around the B+ point, the Fermi velocity vF extracted from the distance between the B± points, and the error bars indicate the range of values that give an acceptable fit. D The Luttinger parameters for spin (Ks, green squares), charge (Kc, pink squares), and their error bars obtained from the data in (C) using Kν = vF/vν. The blue dashed line is the non-interacting limit of these parameters, Ks,c = 1.