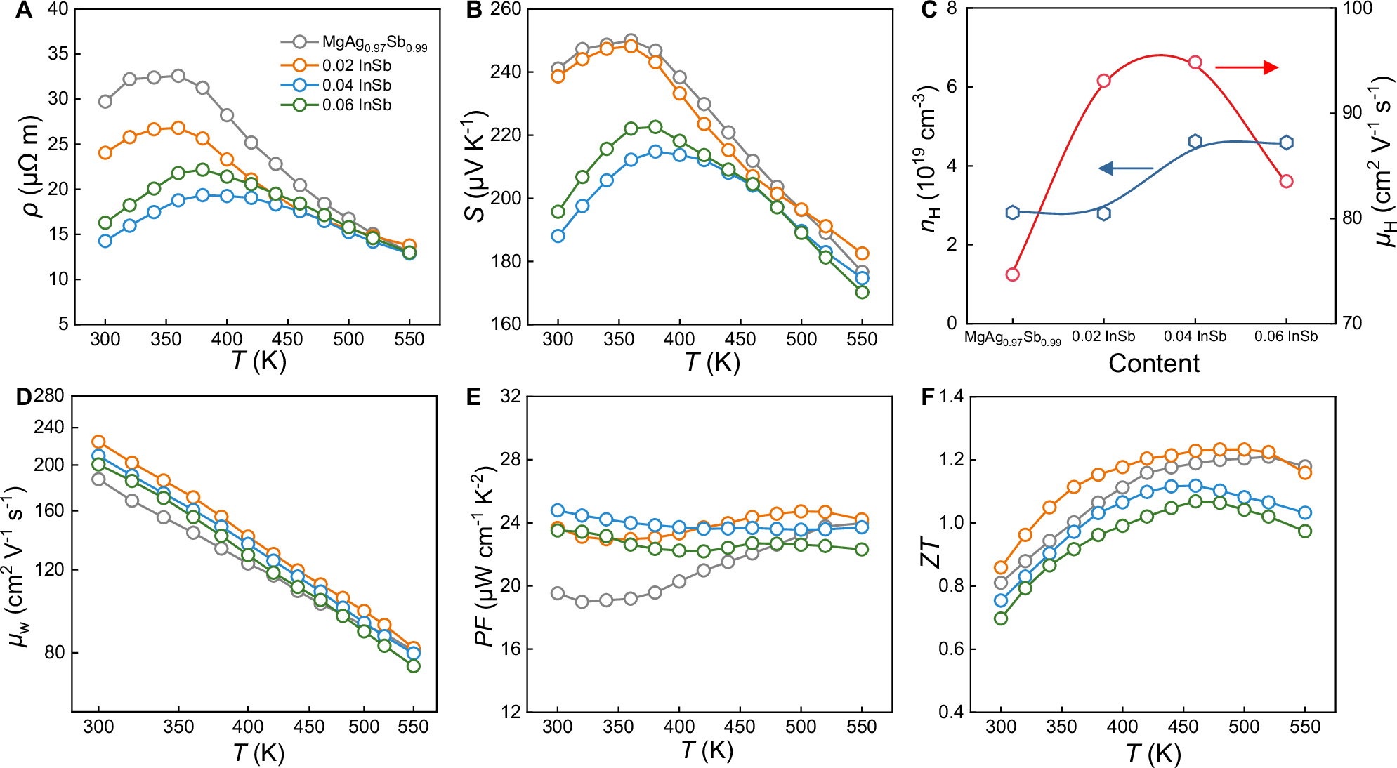
Fig. 3: Thermoelectric properties of MgAg0.97Sb0.99-xInSb composites.

A, B Temperature dependence of electrical resistivity (ρ) and Seebeck coefficient (S), respectively. C Room temperature carrier concentration (nH) and mobility (μH). D, E, F Temperature dependence of weighted mobility (μw), power factor (PF), and figure of merit (ZT), respectively.