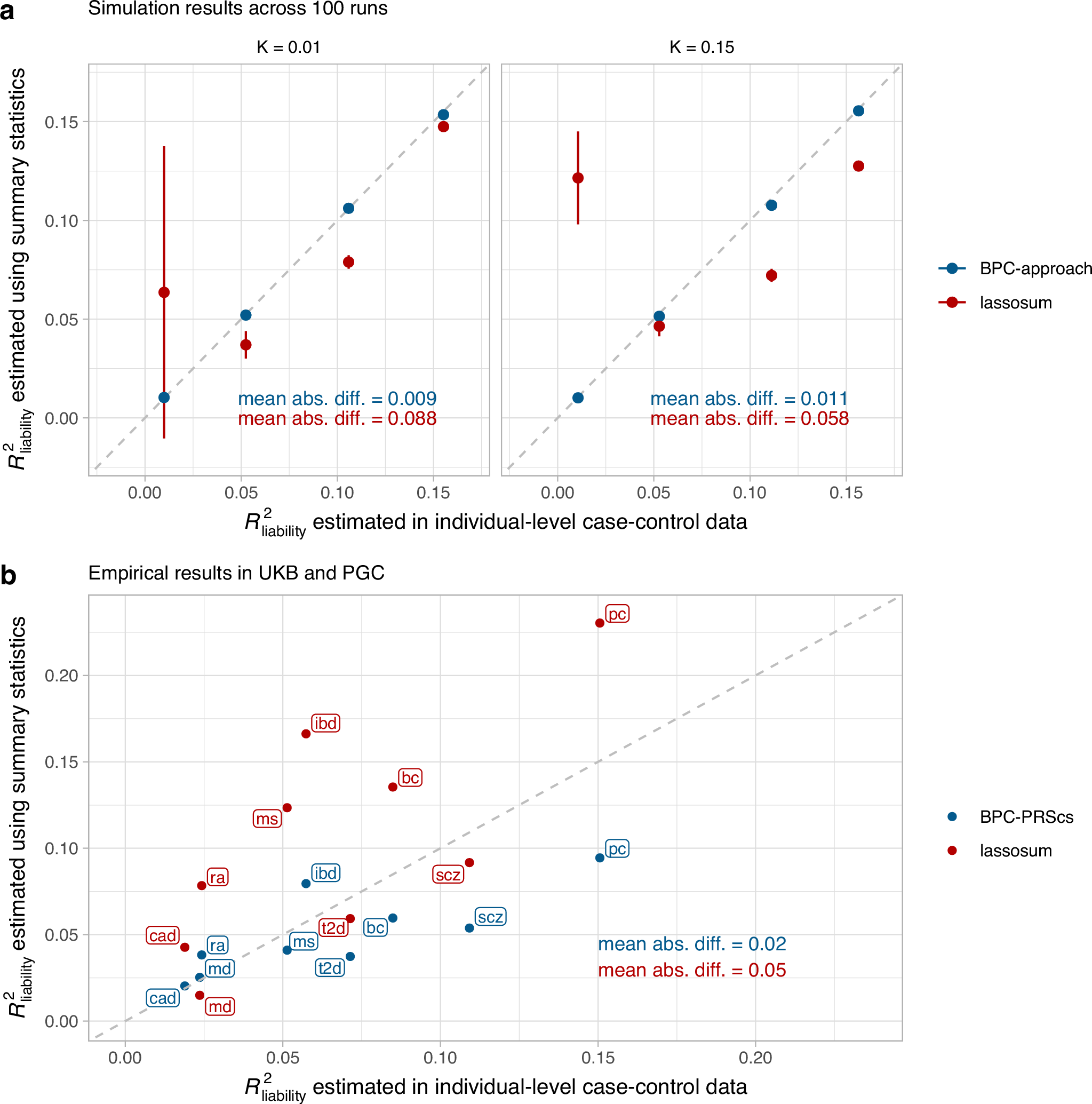
Fig. 6: R2liability estimates in simulations and empirical analyses of nine disorders.
From: Estimating disorder probability based on polygenic prediction using the BPC approach

a Simulation results of estimating \({R}_{{{{\rm{liability}}}}}^{2}\) using the BPC approach and lassosum (as used by Pain et al.14), both of which do not require disorder-specific individual-level genotype and phenotype data. The x-axis depicts \({R}_{{{{\rm{liability}}}}}^{2}\) estimated by regressing disorder status on the Bayesian PGS in individual-level data in the testing sample7. Error bars depict standard errors for 100 simulation runs. The gray dashed line depicts the identity line when y = x. The BPC approach achieves mean estimates that are closer to the regression results in the testing sample in every simulation condition. mean abs. diff. = mean absolute difference of \({R}_{{{{\rm{liability}}}}}^{2}\) estimates using summary statistics and individual-level case-control data. b Empirical results in the UKB and PGC of estimating \({R}_{{{{\rm{liability}}}}}^{2}\) using the BPC-PRScs approach and lassosum. The BPC-PRScs approach achieves estimates that are closer to the regression results in the testing sample on average (mean absolute difference of 0.02 vs. 0.05).