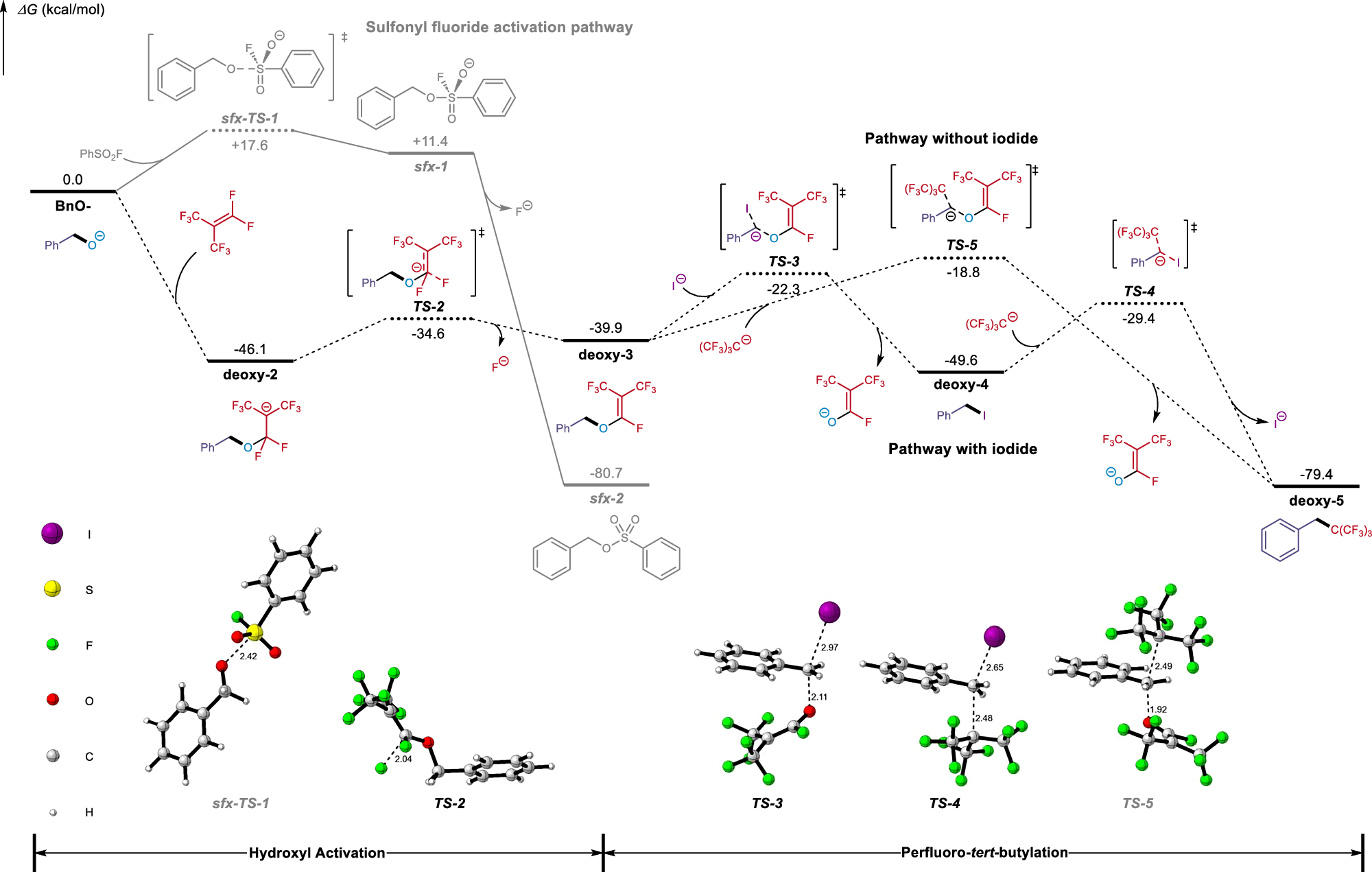
Fig. 5: Computed free-energy profile for the dehydroxy perfluoro-tert-butylation of benzyl alcohol anion.

Method: M06-2X/6-311 + G(2 d,p)-SDD(I)-SMD(DMF)//M06-2X/6-31 + G(d,p)-LanL2DZ(I)-SMD(DMF). The bond lengths are in angstroms (Å).

Method: M06-2X/6-311 + G(2 d,p)-SDD(I)-SMD(DMF)//M06-2X/6-31 + G(d,p)-LanL2DZ(I)-SMD(DMF). The bond lengths are in angstroms (Å).