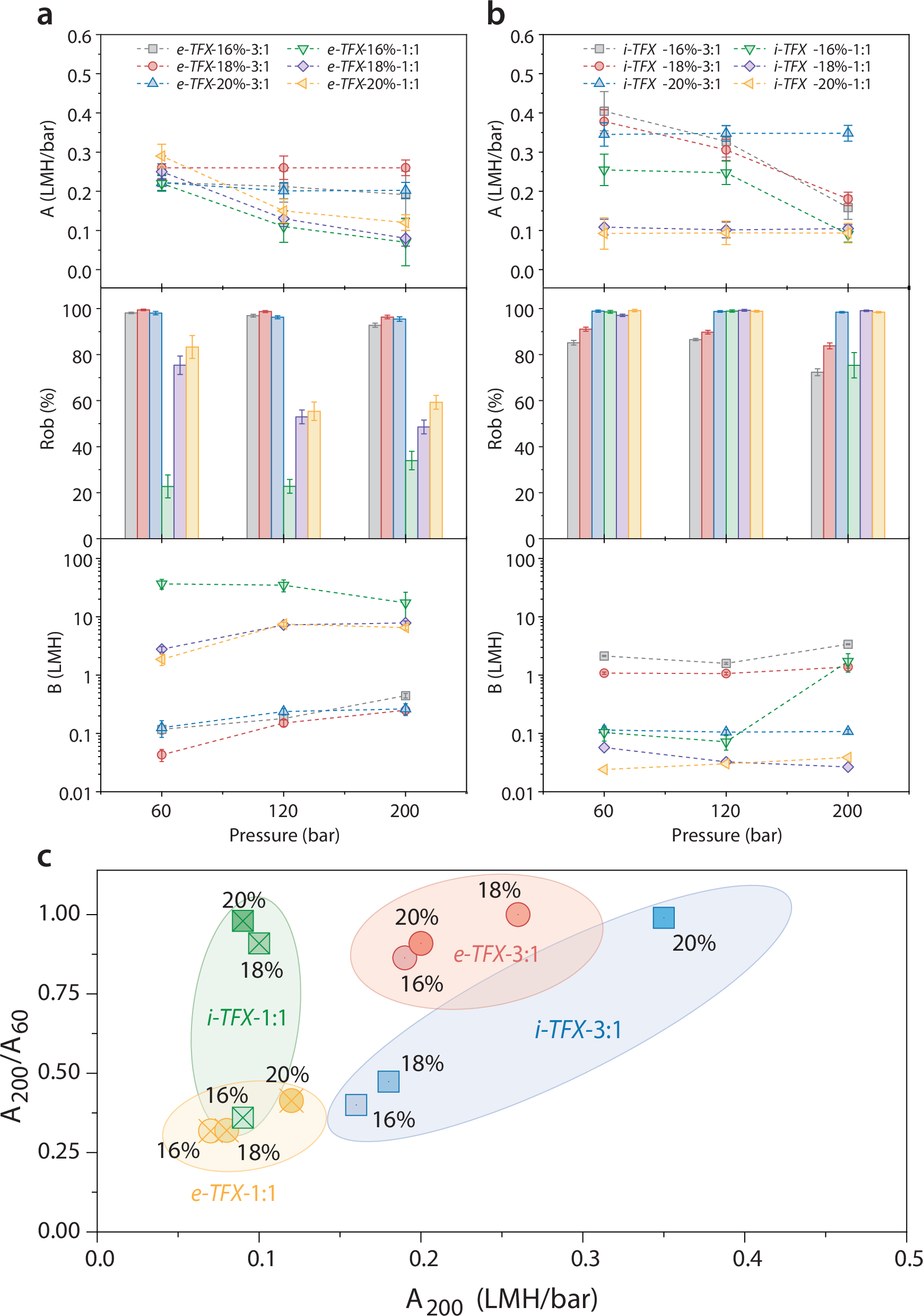
Fig. 2: TFX membrane wet-testing performance.
From: Ultrahigh pressure compaction-resistant thin film crosslinked composite reverse osmosis membranes

a Water permeance (A), observed rejection (Rob), and salt permeability (B) of ex situ TFX (e-TFX) fabricated using support membranes crosslinked ex situ with varying polymer concentrations (16%–20%) and co-solvent/solvent ratios (1:1 or 3:1). b A, Rob, and B of in situ TFX (i-TFX) prepared with in situ crosslinked support membranes. c Water permeance ratio at 200 bar versus 60 bar (A200/A60), plotted against the final water permeance of TFX membranes. Water permeance is presented in units of LMH/bar (Liter.m−2.h−1.bar−1). Solute permeability is presented in units of LMH (Liter.m−2.h−1). Data represent the mean ± standard deviation from three independent experiments, where applicable.