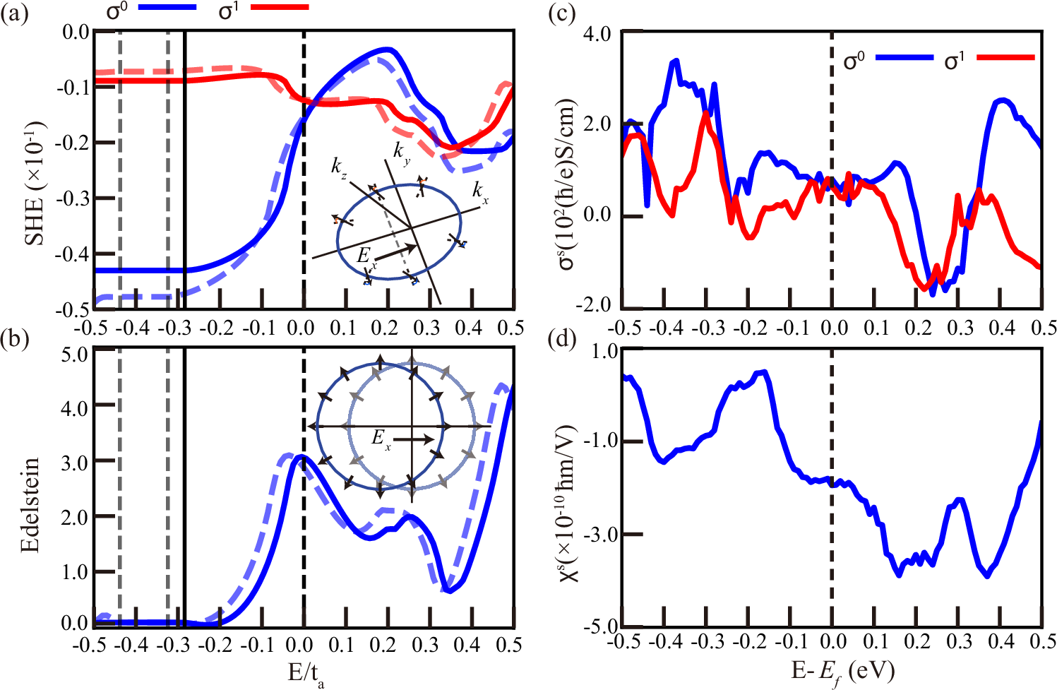
Fig. 3: Spin Hall and Edelstein effect conductivity tensor element (\({\sigma }_{1/0}=({\sigma }_{xy}^{z}\pm {\sigma }_{xz}^{y})/2\)) versus energy around the Fermi level.
From: Spin Hall and Edelstein effects in chiral non-collinear altermagnets

a, c Spin Hall effect results from the model and projected Wannier functions of Mn3IrSi, respectively. b, d The Edelstein effect results (χs) with the inverse scattering time Γ2 = 10−4 (ta) and (eV), respectively. The light dashed lines in (a, b) are from the toy model without SOC.