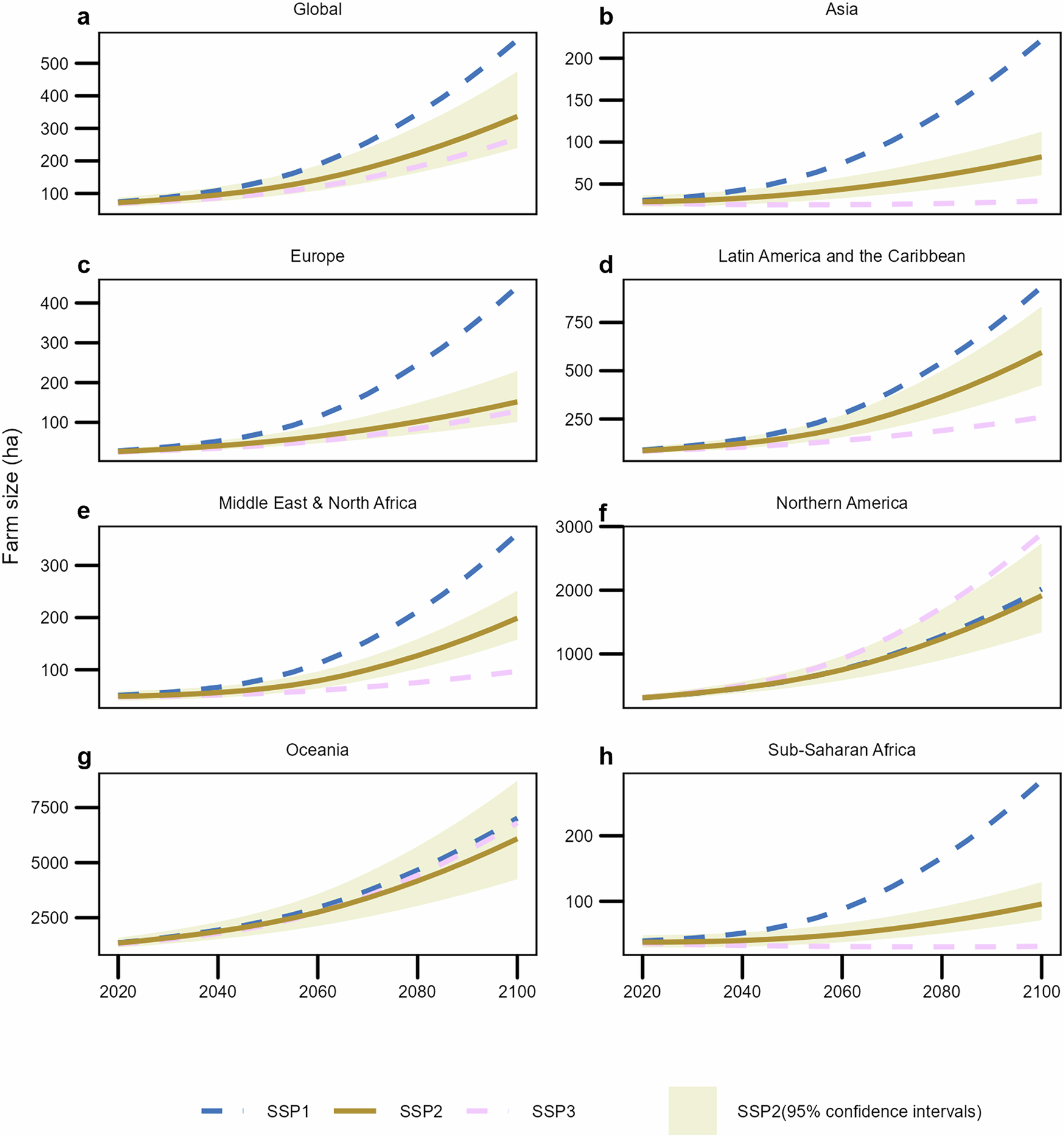
Fig. 4: Future farm size across major regions and globally.
From: Global average socio-economic farm size may triple by 2100

a global average farm size; b–h farm size in major regions including Asia, Europe, Latin America and the Caribbean, Middle East and North Africa, Northern America, Oceania, and Sub-Saharan Africa. The solid brown line shows the projections under the SSP2 scenario, while the blue and pink dashed lines show the extreme scenarios SSP1 (high GDP and low population) and SSP3 (low GDP and high population), respectively. Yellow shading indicates 95% confidence intervals under SSP2.