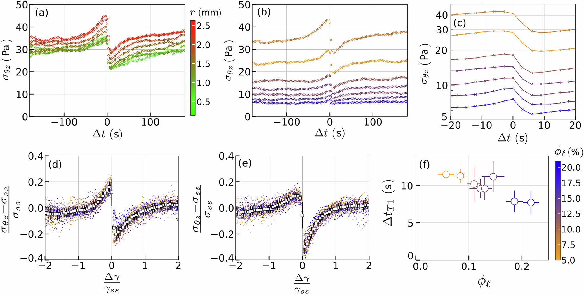
Fig. 4: Universal mechanical signature of a T1 event.
From: Multiscale stress dynamics in sheared liquid foams revealed by tomo-rheoscopy

a Time evolution of the averaged shear component σθz for bubbles losing a contact during the T1 event at different shear rates in the range 0.003–0.011 s−1, corresponding to different radial distances from the rotation axis within the rheometer gap. b The same approach for experiments with different liquid fractions and a fixed shear rate of 0.01 s−1, corresponding to the radial position r = 2.36 mm. c Same plot as (b) with a close-up between −20 and 20 s to focus on the stress relaxation and a log scale for the stress axis. d Collapse of the (σθz − σss)/σss as a function of Δγ/γss. e Collapse of the same quantity for bubbles gaining contact during the same T1 event. f Stress relaxation duration ΔtT1, as measured in (c), as a function of the liquid fraction ϕℓ. Error bars are obtained from statistics over all events.