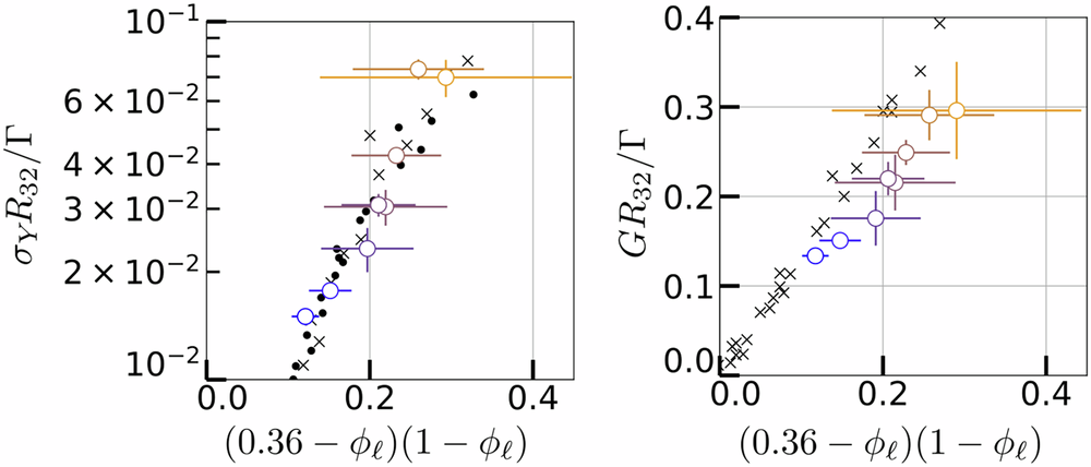
Fig. 9: Influence of the liquid fraction on the yield stress and shear elastic modulus of the foams.
From: Multiscale stress dynamics in sheared liquid foams revealed by tomo-rheoscopy

Dimensionless yield stress σY and shear elastic modulus G as functions of the liquid fraction, as proposed by Saint-Jalmes and Durian38.