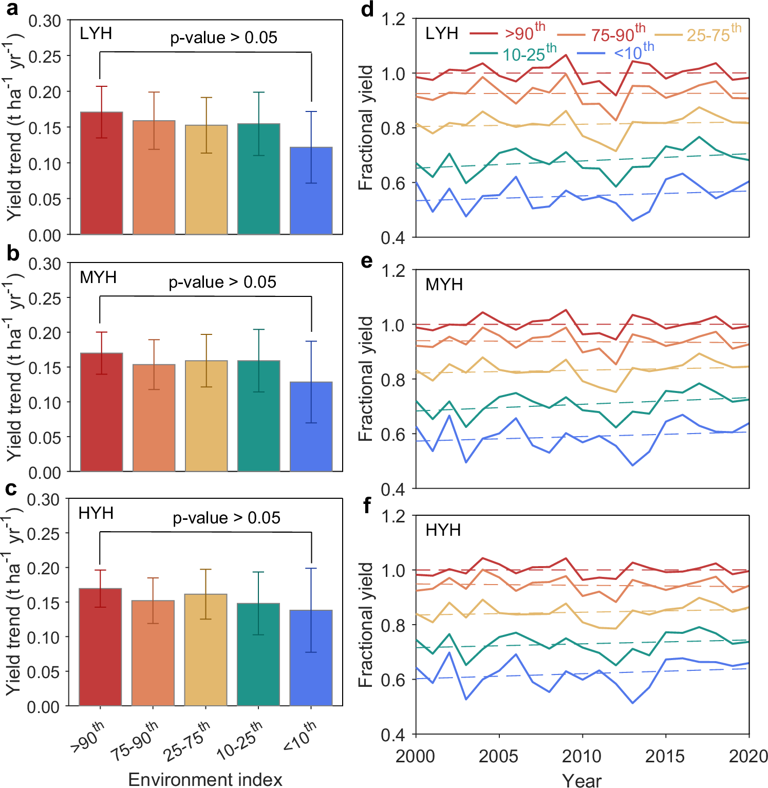
Fig. 3: Trend of maize yield across five environmental index levels from 2000 to 2020 for low-yielding hybrids (LYH), median-yielding hybrids (MYH), and high-yielding hybrids (HYH).

a–c Trend of maize yield across five environmental index levels from the highest environmental index level (red color) representing the best yield conditions, to the lowest environmental index level (blue color) indicating the worst yield conditions. Bars refer to the mean yield trend, and error bars are at the 95% confidence interval (sample size for each environmental condition = 21 years). Trends were estimated using linear regression (two-sided test). No adjustment for multiple comparisons was applied. The statistical significance of the difference in yield trends between the best- and lowest-yielding conditions was tested using analysis of covariance (ANCOVA). d–f Time series of maize yield (relative to the best environmental condition) for LYH, MYH, and HYH, respectively (see “Methods”). The solid lines show the mean fraction yield, and dashed lines indicate fitted linear trends for five environmental index levels. Source data are provided as a Source Data file.