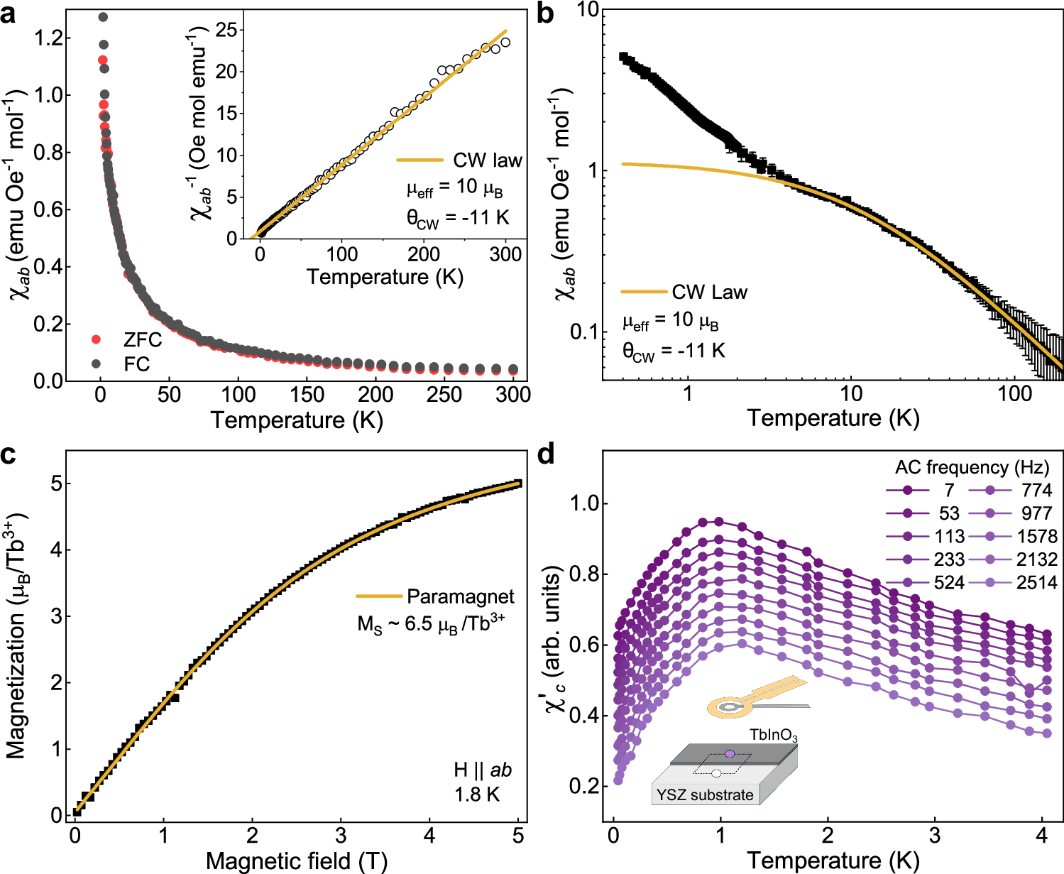
Fig. 3: SQUID magnetometry on a 38 nm film of TbInO3 on YSZ(111).
From: Signatures of quantum spin liquid state and unconventional transport in thin film TbInO3

a In-plane magnetic susceptibility measured using an applied field of 1000 Oe as a function of temperature upon warming after field-cooling (black) and zero-field cooling (red). No splitting of the two curves, as would be indicative of magnetic ordering, is observed down to 1.8 K. A linear Curie–Weiss fit to the inverse susceptibility yields a Curie–Weiss temperature of −11 K and an effective Tb3+ moment μeff of approx. 10 μB. b Magnetic susceptibility extended further down to 0.4 K, using a field of 2000 Oe, similarly reveals no long-range order. A deviation from the high-temperature Curie–Weiss behavior is evident below 5 K. The error bars represent the measurement uncertainty as provided by the instrument (see “Methods”). c In-plane magnetic field dependence of magnetization yields a saturation magnetization MS of ca. 6.5 μB/Tb3+ at 1.8 K. d AC magnetic susceptibility along the out-of-plane c-axis of the film, collected between 44 mK and 4 K by scanning SQUID magnetometry, displays a sharp downturn below 1 K. A background contribution from the substrate has been characterized on an area where the film had been removed (see schematic in inset) and subtracted from the data. The y-axis corresponds to the 7 Hz dataset (in emu mol−1), all other curves have been offset for clarity.