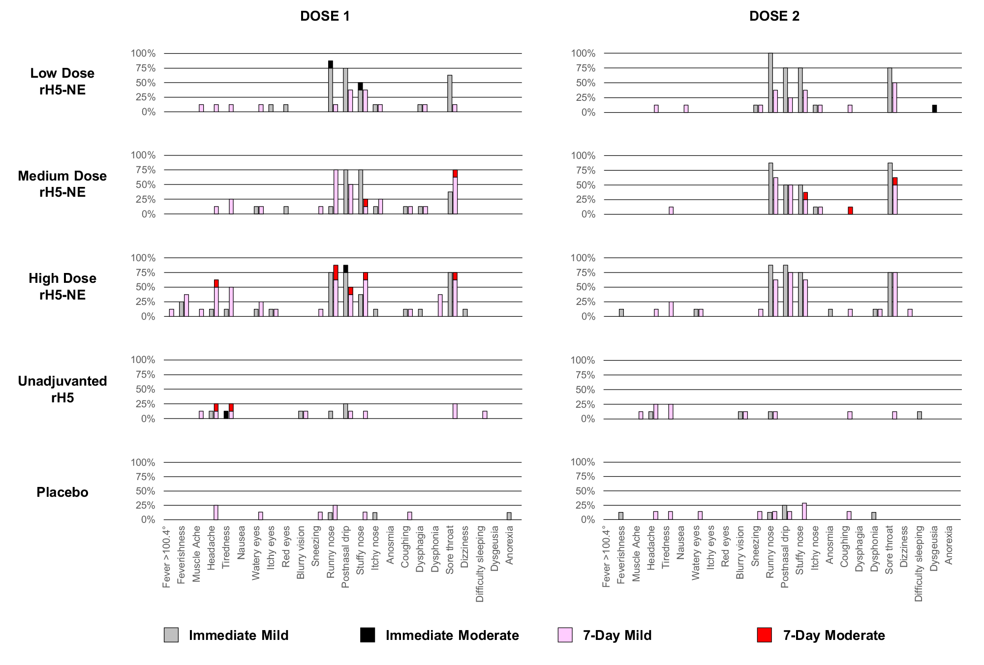
Fig. 6: Solicited symptoms through 7 days after each intranasal vaccination.

All solicited events were mild or moderate. No reports of nosebleed, hearing difficulty, double vision, joint pain, ear ringing, slurred speech, eye swelling, chest tightness, or wheezing. Figure colors: immediate mild (light gray), immediate moderate (black), 7-day mild (pink), 7-day moderate (red).