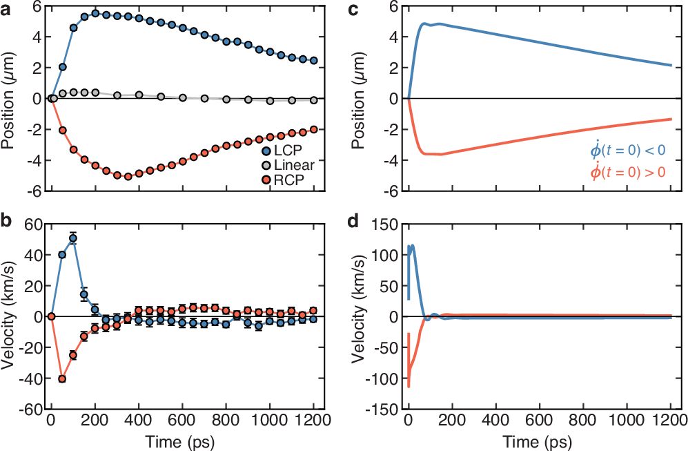
Fig. 4: Quantitative extraction of DW dynamics and comparison to simulation.
From: High-speed antiferromagnetic domain walls driven by coherent spin waves

a, b Position (a) and velocity (b) of the DW center (at the location of maximum displacement) over time for different pump polarizations. Error bars represent one standard error for the fitted DW positions and the corresponding propagated error for calculated velocities. c, d Simulated time dependence of the DW position (c) and velocity (d) for positive and negative initial angular velocities of the Néel vector.