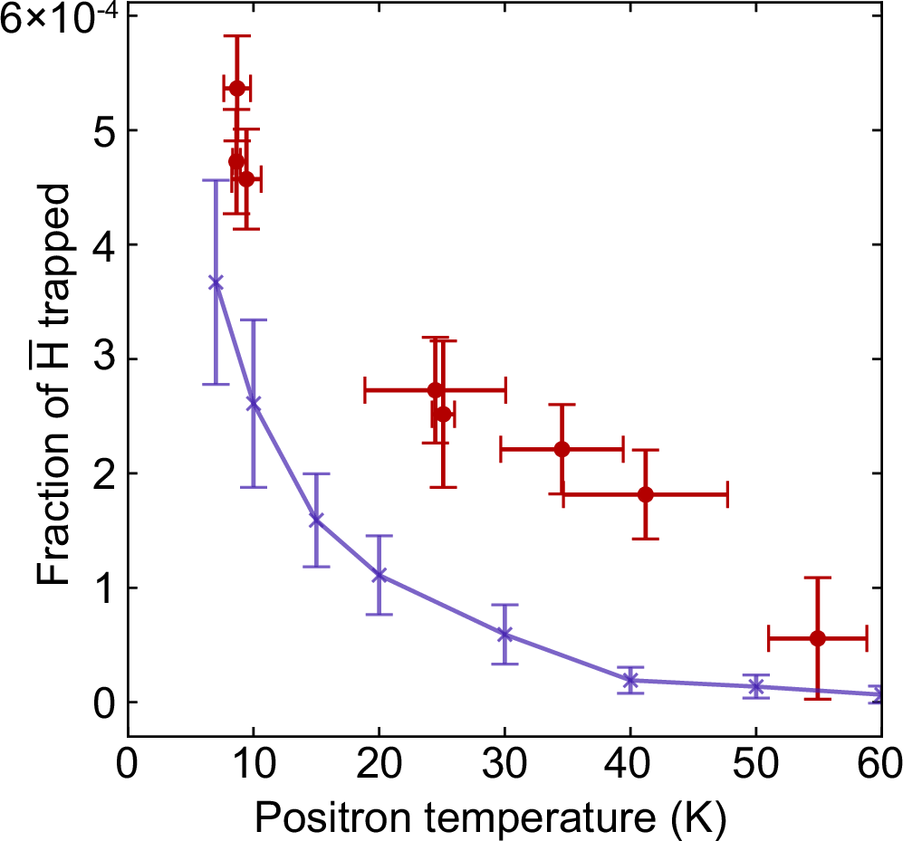
Fig. 3: Antihydrogen trapping efficiency vs e+ temperature.
From: Be+ assisted, simultaneous confinement of more than 15000 antihydrogen atoms

The red points are experimental data whose error bars represent one standard deviation of multiple measurements. The trapped fraction is defined as the number of H̅ trapped per H̅ formed. For the experimental data, the SVD triggers during synthesis are used as a proxy for H̅ formed. The final laser cooling was off-axis, and the detuning was set between −600 MHz and −200 MHz to achieve a variation of the e+ temperature. The laser power was 160 mW. As a result, the e+ densities varied between 2 × 107 cm−3 and 1 × 108 cm−3 for this dataset. The simulated results (purple connected points) were calculated using the method described by Jonsell et al.13 (see text), where the errors are counting errors in the simulation. The simulated e+ density was varied with e+ temperature, following the experimental results in Fig. 2. In the simulation, only H̅ surviving a 2 V/cm axial electric field were counted in order to estimate the field ionisation losses caused by the confining potentials used for the charged particles. The simulation result was subsequently scaled by 1.4 to reflect the slight prevalence of trappable states (low-field seekers) to untrappable states expected from simulations of the radiative decay processes following synthesis33.