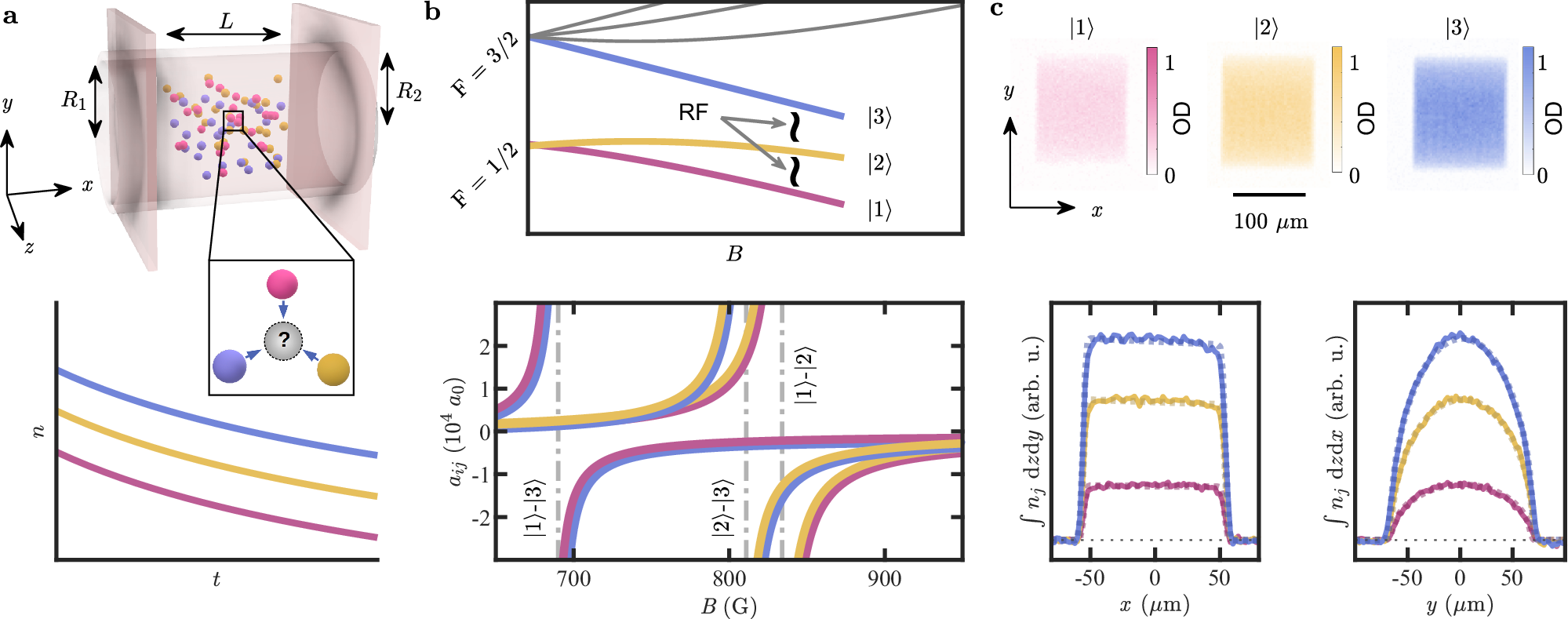
Fig. 1: Preparation of a homogeneous three-component Fermi gas.
From: Observation of anomalous decay of a polarized three-component Fermi gas

a Top: Sketch of the optical box. Bottom: The stability of the mixture is studied by measuring the density of each spin population over time. b Top: Breit-Rabi diagram of the lowest hyperfine states of 6Li. The three (pseudo)-spins are encoded in the three lowest states, respectively \(\left\vert 1\right\rangle\), \(\left\vert 2\right\rangle\) and \(\left\vert 3\right\rangle\) (identified by the same colors throughout this work). The polarization of the three-component mixture is controlled via radio-frequency (RF) pulses. Bottom: Scattering length aij for each pair of spin states \(\left\vert i\right\rangle\)-\(\left\vert \, j\right\rangle\) (in units of the Bohr radius a0); adjacent colors match the corresponding pair of states. Vertical dash-dotted lines show the locations of the broad Feshbach resonances Bij: B12 ≈ 832 G, B13 ≈ 690 G, B23 ≈ 810 G (for more details, see ref. 64). c Top: In situ absorption images of a typical polarized three-component mixture (averaged over 10 realizations), taken along the z axis; the color scale corresponds to the optical density (OD). The length and radii of this (slightly) conical box are L = 120(2) μm, R1 = 75(1) μm and R2 = 73(1) μm, and its trap depth is Ubox = kB × 1.6(2) μK, where kB is Boltzmann’s constant; note that boxes of various sizes were used in this work. Throughout this work, the displayed uncertainties (one standard deviation) denote statistical errors only. Bottom: Integrated density along the x and y axes for each component with fits to homogeneous density profiles (dotted lines, see “Methods”).