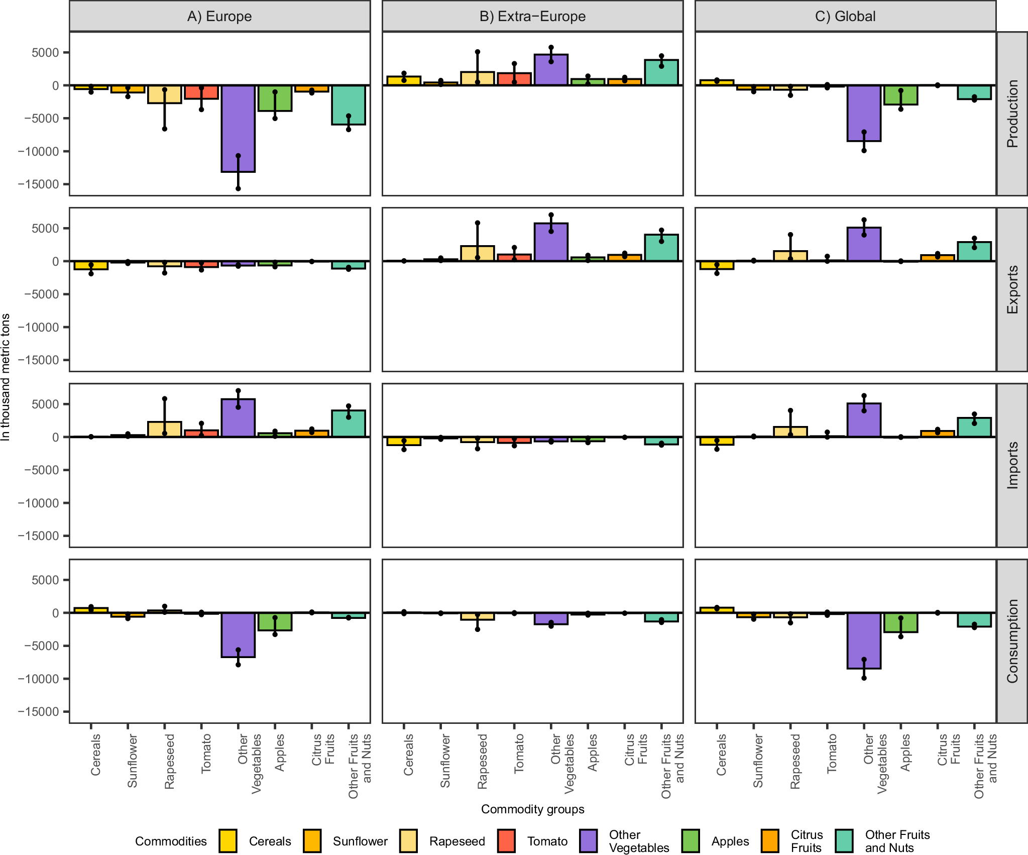
Fig. 2: Changes in production, exports, imports, and consumption of crops following a simulated collapse of wild pollinators in Europe.
From: The economic, agricultural, and food security repercussions of a wild pollinator collapse in Europe

Each bar represents the CAPRI model output for the mean productivity shock scenario. Dots indicate the range of results from two additional simulations corresponding to the upper and lower bounds of the 95% confidence interval for productivity losses in pollinator-dependent crops. In total, three independent scenario simulations were conducted (n = 3). Exports and imports are adjusted to exclude intra-regional trade. Results are shown in thousand metric tons and are aggregated for (A) Europe, (B) Extra-Europe, and (C) Global regions. Extra-Europe refers to all regions outside of Europe. All values represent differences relative to a baseline scenario without pollinator collapse. See Methods for scenario design and Supplementary Materials for source data.