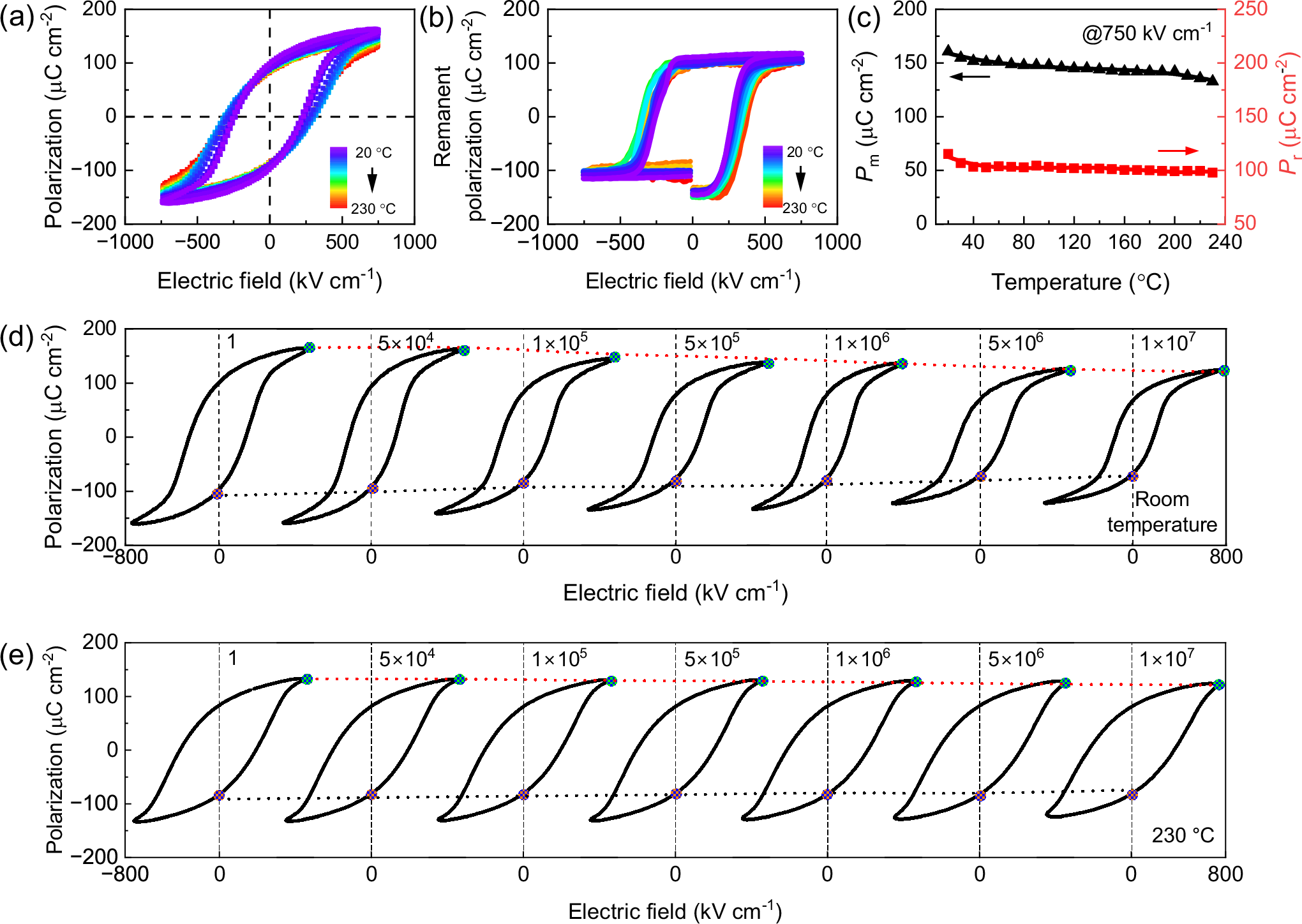
Fig. 6: Evolution of polarization and P–E loops in Fe-BNBT thin films with temperature and cyclic electric loading.
From: Flexoelectricity-driven giant polarization in (Bi, Na)TiO3-based ferroelectric thin films

a The temperature-dependent P–E loops of Fe-BNBT thin films under 750 kV cm-1. b The temperature-dependent remanent P–E loops of Fe-BNBT thin films under 750 kV cm-1. c The maximum polarization and the remanent polarization of Fe-BNBT thin films under selected electric fields as a function of temperature. d, e The P–E loops of Fe-BNBT thin films were evaluated at a frequency of 50 kHz under an AC electric field of 750 kV cm-1 at room temperature and at 230 °C during fatigue testing, with the number of electric cycles extending up to 107, respectively.