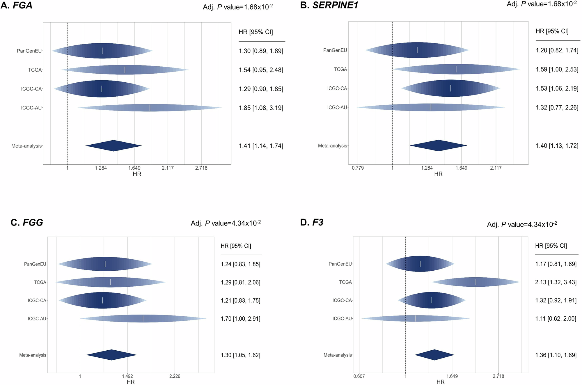
Fig. 2: Forest plots from the meta-analysis of the complement system-related genes indicate an association with poorer overall survival when considering PanGenEU, TCGA, ICGC-CA, and ICGC-AU (Fig. 2A-2D).
From: Deciphering the role of complement system genes in pancreatic cancer susceptibility and prognosis

Hazard ratios (HR) and 95% confidence intervals (CI) were estimated using two-sided Cox proportional-hazards regression models under a dominance mode of inheritance. Meta-analysis p-values were adjusted for multiple comparisons using the Benjamini–Hochberg false discovery rate method. Source data are provided as a Source Data file.