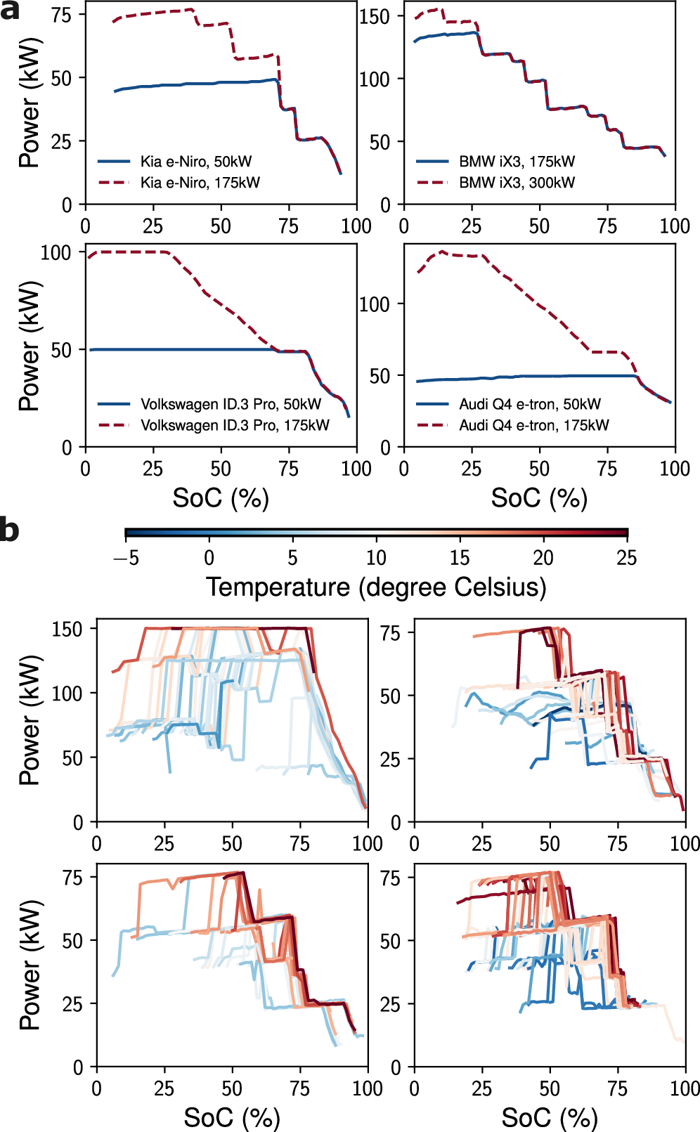
Fig. 2: Comparison between controlled laboratory and real-world electric vehicle direct current fast charging profiles.
From: Deep learning predicts real-world electric vehicle direct current charging profiles and durations

a Reference charging profiles of Kia e-Niro, BMW iX3, Volkswagen ID.3 Pro, and Audi Q4 e-tron measured in controlled laboratory sessions under ideal charging conditions of ambient temperature of 30 °C with Combined Charging System (CCS) chargers of different rated connector powers. b Each subplot represents the charging profiles of a single anonymous user (and likely the same EV) using the same connector type and power rating under different environmental ambient temperatures. The sampled charging profiles demonstrate that real-world charging patterns are highly diverse and irregular, and dependent on many factors including starting SoC and ambient temperature.