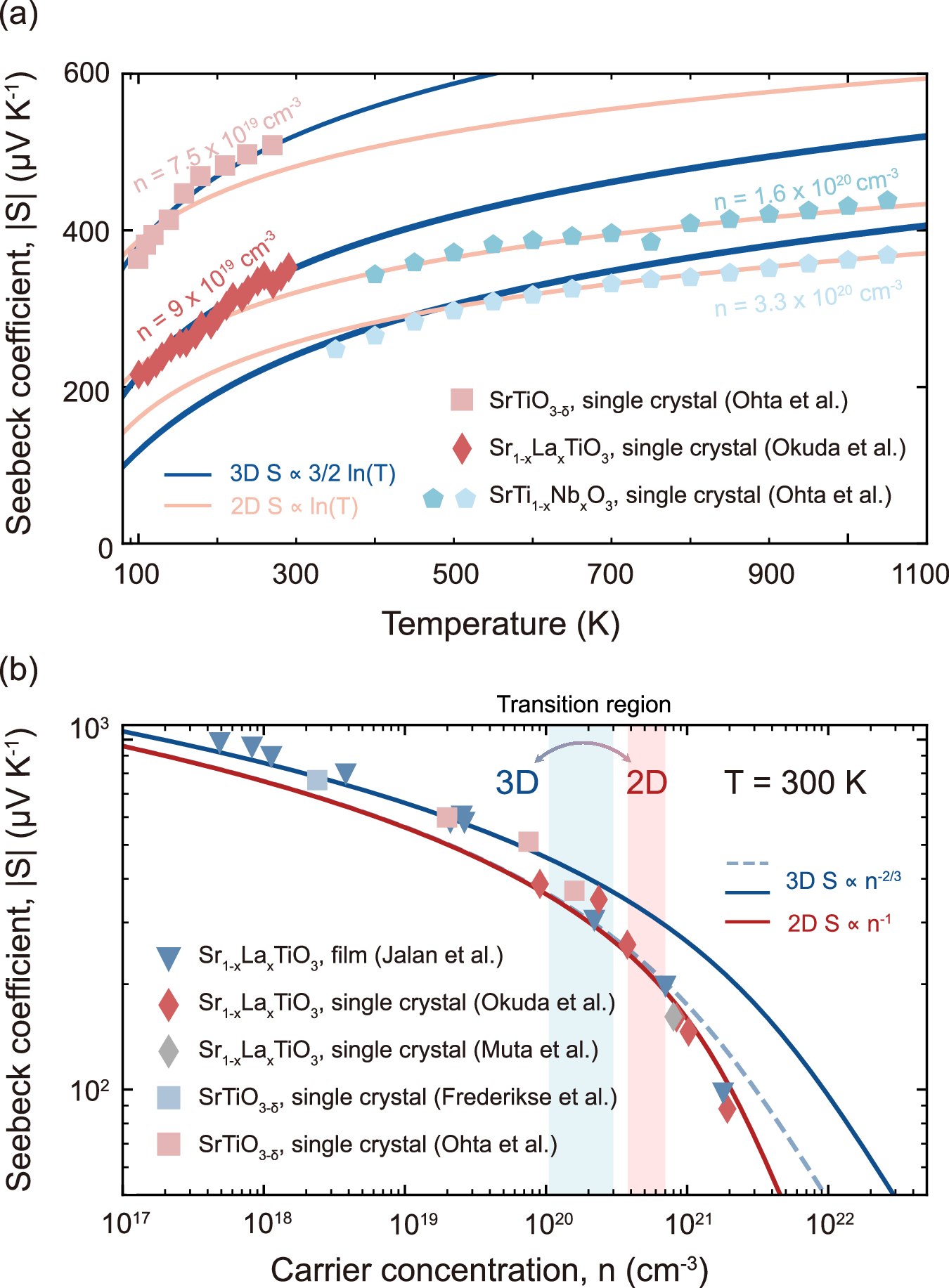
Fig. 2: Thermoelectric transport fingerprints of n‑type SrTiO3. Data are compiled from La doped, Nb doped and oxygen deficient crystals and films in Refs. 11,37,38,39,40,41.
From: Dimensional transport crossovers in thermoelectrics revealed by a simple transport model

a Temperature evolution of \(S\) for oxygen deficient, La and Nb doped crystals. At low \(n\), the data clearly follow 3/2 ln T characteristic of 3D DOS while at high \(n\) above 1020 cm−3 the data follow \({{\mathrm{ln}}}T\) characteristic of a 2D DOS; datasets that straddle the crossover concentration reproduce the change in slope expected for reduced dimensionality. b Room temperature \(S\) versus Hall carrier concentration \(n\). At high \(n\) the data clearly follow the 2D DOS prediction (red curve) as opposed to the 3D (blue curve); the inflection at \(n\approx 1\times {10}^{20}{{{{\rm{cm}}}}}^{-3}\) signals entry into the 2D regime.