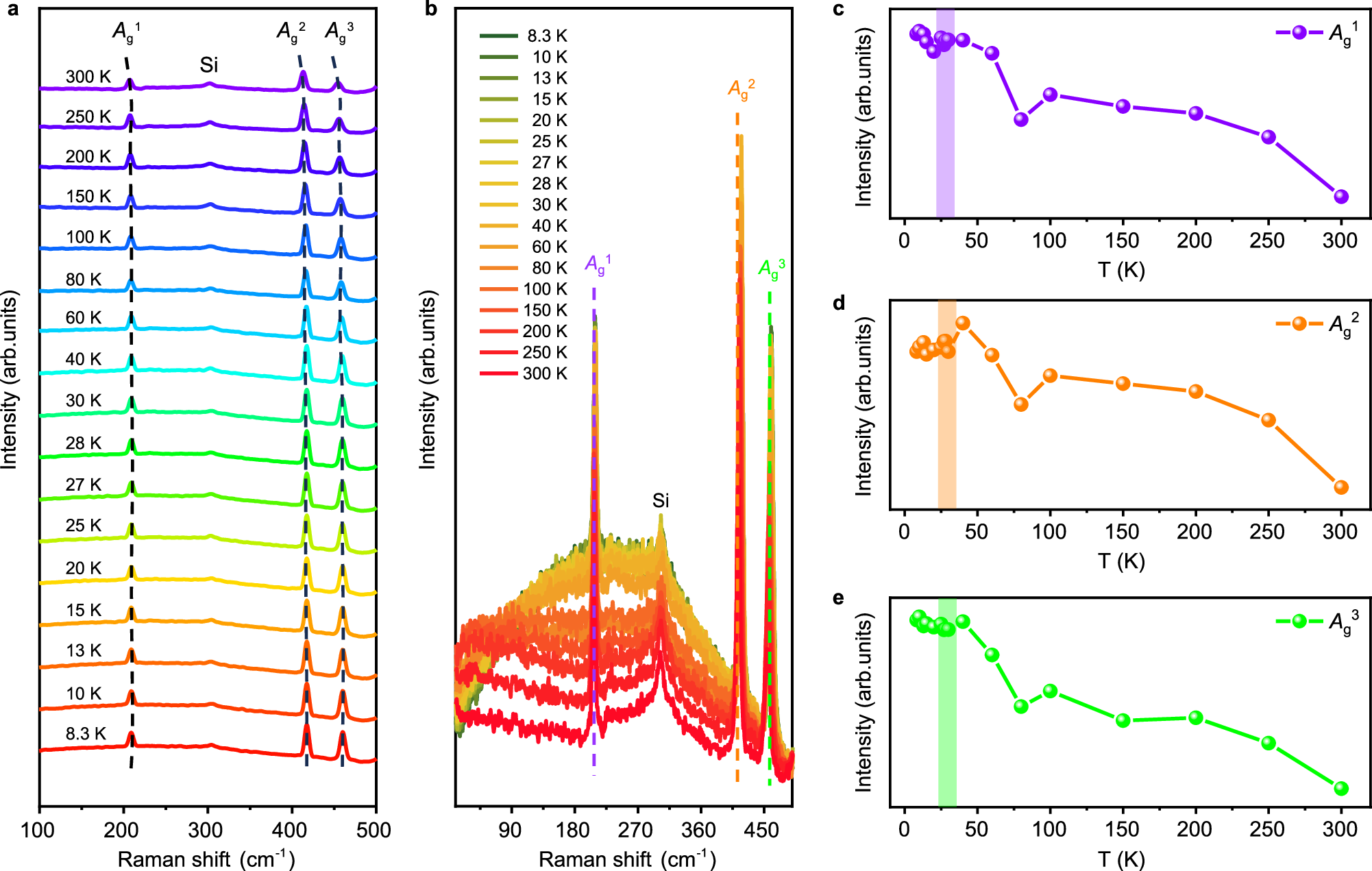
Fig. 4: Temperature-dependent Raman spectra of two-dimensional (2D) CrOCl nanosheets.
From: Chemical vapor deposition growth of continuous monolayer antiferromagnetic CrOCl films

a Raman spectra of CrOCl at different temperatures (8.3 ~ 300 K). b Raman spectra of CrOCl at 8.3 ~ 300 K with the same baseline. Temperature dependency of Raman intensity for the (c) Ag1 (purple), (d) Ag2 (orange), and (e) Ag3 (green) modes. Three shaded bars represent the transition temperatures in (c–e).