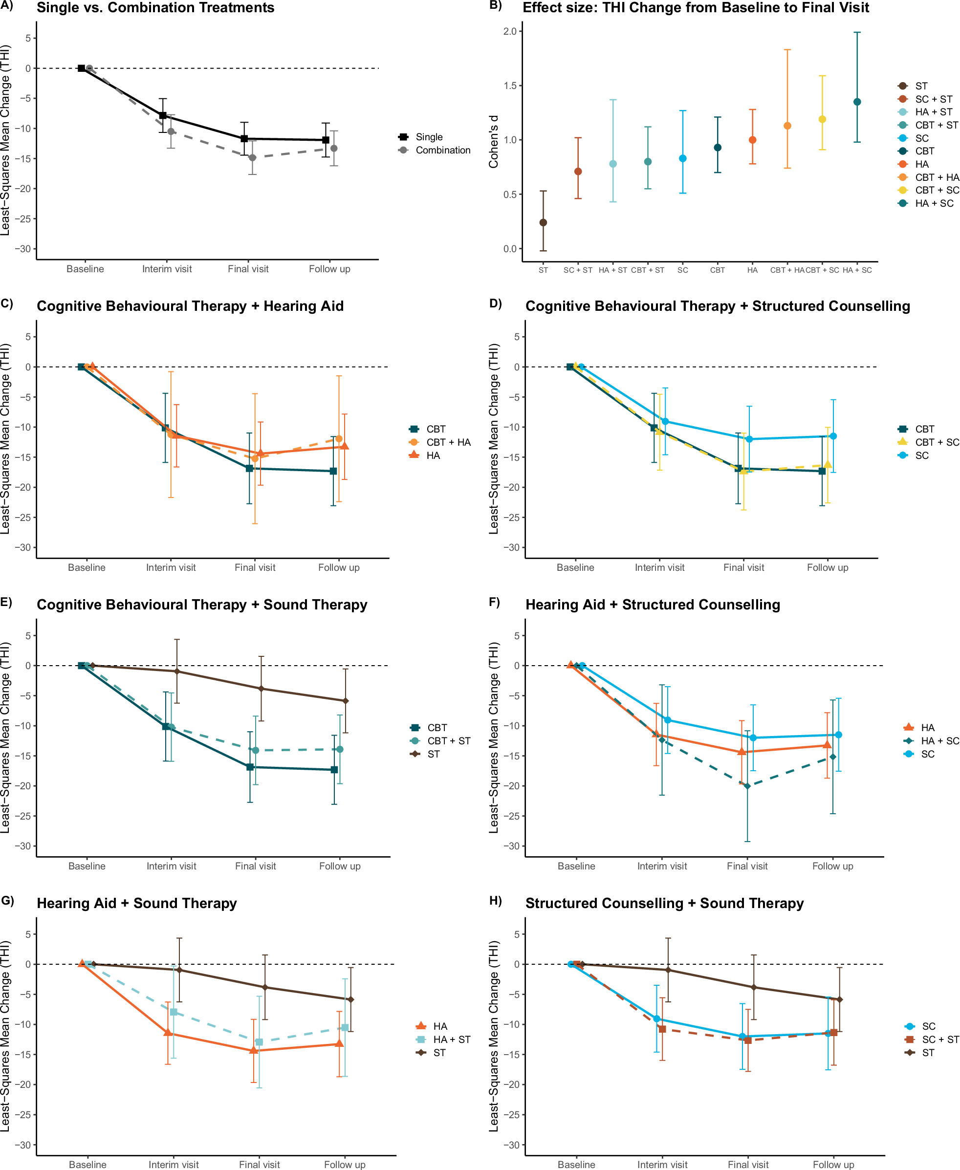
Fig. 2: Least-squares mean changes from baseline to interim visit (6w), final visit (12w) and follow-up (36w) in THI total score.

A single (n = 230) and combination (n = 231) treatments; C CBT + HA (n = 17); D CBT + SC (n = 51); E CBT + ST (n = 54); F HA + SC (n = 19); G HA + ST (n = 27); H SC + ST (n = 63); and B Cohen’s d values for all treatment arms (change in THI total score from baseline to final visit). Single treatment arms included: CBT (n = 56), HA (n = 59), SC (n = 56) and ST (n = 59). Total THI scores range from 0 to 100, with higher scores indicating greater severity of tinnitus. Error bars represent 95% confidence intervals. Abbreviations: CBT cognitive-behavioural therapy, HA hearing aids, SC app-based structured counselling, ST app-based sound therapy, THI Tinnitus Handicap Inventory.