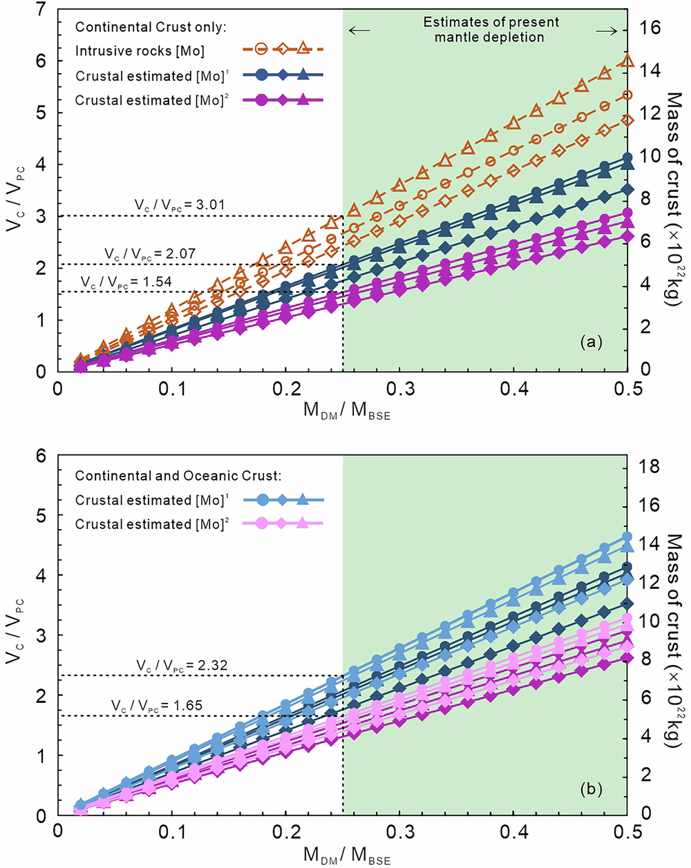
Fig. 4: Mass balance model assessing crust-mantle differentiation, to evaluate the validity of the our estimated δ98/95Mo of the bulk continental crust.
From: Missing molybdenum and the composition of the continental crust inferred from molybdenum isotopes

Crustal mass can subsequently be translated into a corresponding volume of crust (VC) relative to the volume of present crust (VPC), with variations depending on the fraction of the bulk silicate Earth (BSE) that has experienced melt depletion (MDM/MBSE). Two models were tested: (1) only continental crust (a) and; (2) considering both continental and oceanic crust (b). Previously estimated crustal [Mo]1 and [Mo]2 are from Rudnick and Gao37 and Taylor and McLennan48, respectively. In (a), the dotted lines represent those calculate using only the compiled [Mo] of intrusive rocks. Shapes represent different crustal depth models from Rudnick and Gao37 (circle), Huang et al.41 (diamond) and Hacker et al.40 (triangle). In (b), the y-axis labeled “Mass of crust” is applicable only to the results of the continental and oceanic crust model, continental crust only model (from a; darker colors) are shown for comparison.