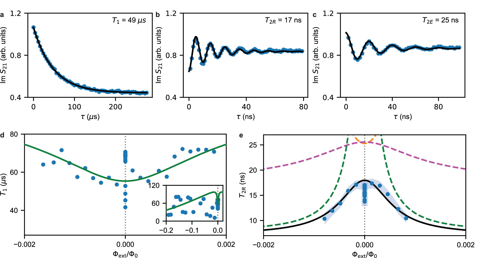
Fig. 3: Qubit relaxation and coherence.

a–c Time-domain measurements taken at zero flux, measuring a the relaxation time T1, b the Ramsey coherence time T2R, and c the coherence time with the application of a single echo pulse T2E. The duration of the Xπ and Xπ/2 pulses used in the measurements was 9 ns. d Relaxation time T1 versus flux. The expected flux dependence of T1 due to inductive loss with Qind = 4.2 × 104 is plotted in green. The inset shows that T1 deviates from the inductive loss fit away from zero flux. The gray dotted line is a guide for the eye for zero flux. The range of variations of T1 in time is shown by the data points at zero flux. e Ramsey coherence time T2R versus flux. The shaded region indicates the error from fitting the T2R data. The dashed lines indicate the individual contributions to the dephasing of the qubit. The green line shows the expected flux dependence of T2R due to first-order flux noise dephasing with noise amplitude, AΦ = 1.41 × 10-4Φ0/\(\sqrt{\,{\mbox{Hz}}}\), the pink line is the limit set by Aharonov-Casher dephasing for variation in Es, 1 with noise amplitude, AAC = 0.026Es, 1/\(\sqrt{\,{\mbox{Hz}}}\), the orange line indicates the limit set by thermal excitations to the \(\left\vert f\right\rangle\) state for a qubit temperature of 17 mK. The black line shows the expected limit from the quadrature sum of all three contributions. Similar to d, the gray line is a guide for zero flux, and the range of variations of T2R in time is shown by the data points at zero flux. Note that at zero flux, only the point with the highest T2R was included in the fit.