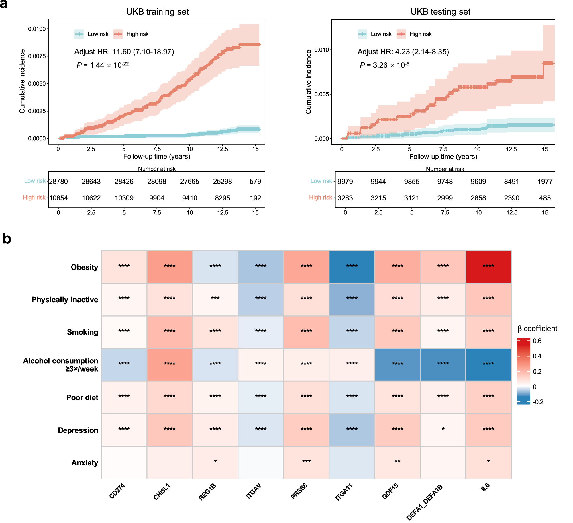
Fig. 5: Risk stratification and clinical associations of the 9-protein model with Crohn’s disease (CD) and CD-related phenotypes.
From: Plasma proteomic profiles identify biomarkers predicting Crohn’s disease up to 16 years before onset

a Protein model stratifies the risk of CD onset. Unadjusted Kaplan–Meier curves illustrate distinct cumulative risk trajectories for incident CD between the stratified subgroups (high-risk subgroup: red line; low-risk subgroup: blue line). The optimal cutoff (0.484) was determined using the Youden index in the UK Biobank (UKB) training cohort and applied to both the training and testing sets. Associations between the protein model and disease risk were assessed using Cox proportional hazards models, adjusted for age, sex, and ethnicity, with P values calculated using two-sided Wald tests and without adjustment for multiple comparisons. Hazard ratios (HRs) and P values are presented. Kaplan–Meier estimated cumulative incidence, with shaded areas representing 95% confidence intervals (CIs). b Clinical association between protein levels and CD-related phenotypes. Heatmap showing the associations between nine proteins in the protein model and modifiable risk factors for CD, including obesity, physical inactivity, smoking, alcohol consumption (≥3 times per week), poor diet, depression, and anxiety. Linear regression models were used, adjusted for age, sex, and ethnicity. Protein levels were treated as outcome variables, while CD-related phenotypes served as explanatory variables. The β coefficient represents the effect size, with positive associations in red and negative associations in blue. Statistical significance was determined using the false discovery rate (FDR) correction (*P < 0.05, **P < 0.01, ***P < 0.001, ****P < 0.0001). Source data are provided as a Source data file.