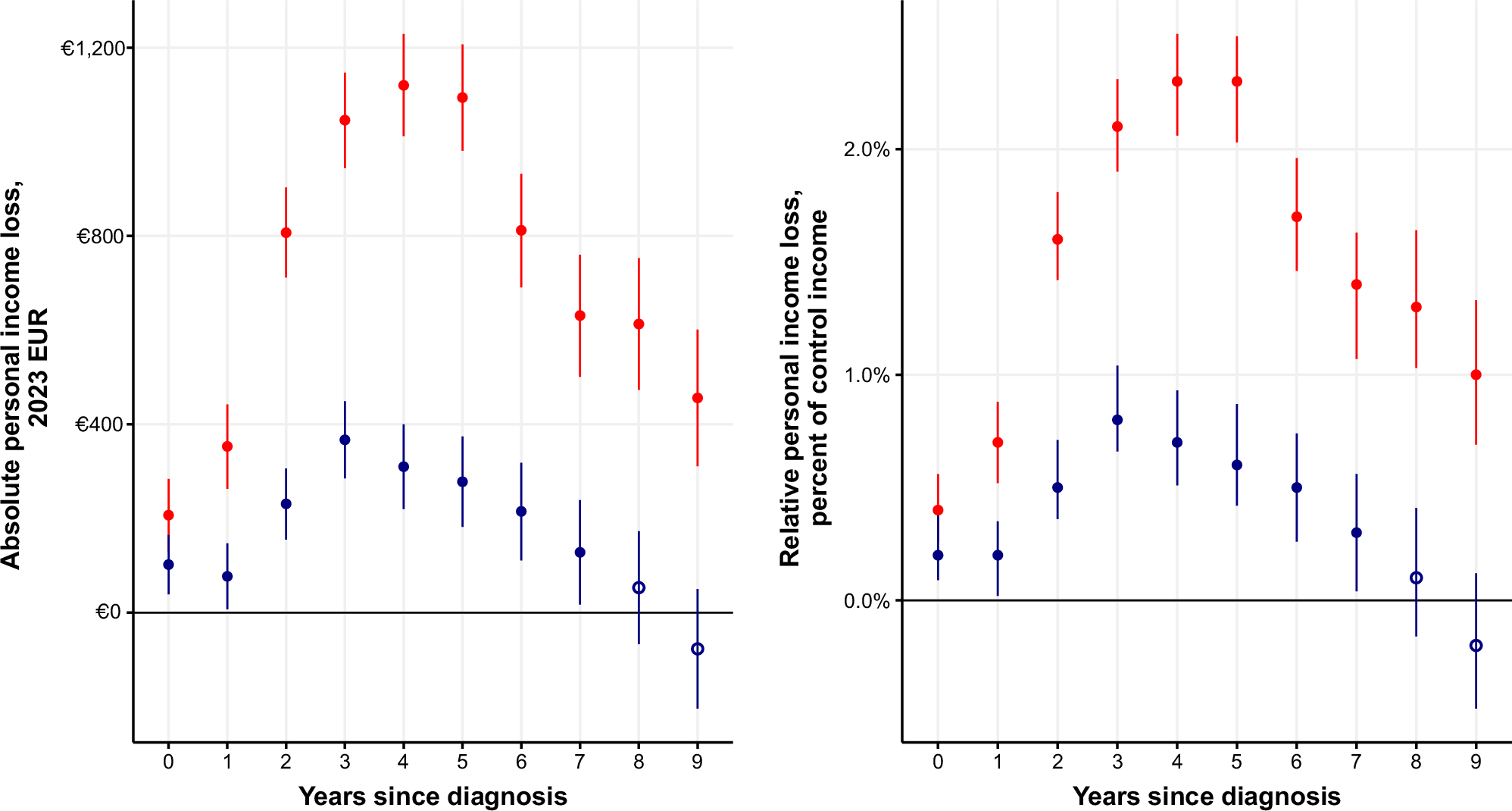
Fig. 1: Average causal effect on the exposed in personal and household equivalized disposable income loss among the non-retired population.
From: Breast cancer and income loss in Denmark: heterogeneous outcomes and longitudinal effects

Income loss is shown in both absolute terms (adjusted to 2023 EUR; first panel) and relative terms (as a proportion of control group income; second panel) over years since diagnosis. Data are presented as mean values with 95% confidence intervals, where intervals are calculated from the standard deviation of conditional mean income in each subgroup. Income type is indicated by point color (red = personal disposable income loss, blue = household equivalized disposable income loss). Significance at α = 0.05 is indicated by point shading (filled dot = significant; hollow dot = not significant) based on two-sided t-tests. Estimates are based on n = 30,802 individuals with disease and n = 4,317,385 matched controls for personal income loss, and n = 30,664 individuals with disease and n = 4,144,538 matched controls for household equivalized disposable income loss. The unit of study is the individual. All observations are biological replicates, derived from a national register-based cohort. Control groups were matched on age, sex, and baseline demographic, socio-economic, and health characteristics. Effects reflect income among survivors in each follow-up year. Source data are provided with this paper.